This article compares the old grading system with the new one (effective from May 2017).

So what’s the big deal? The New Grading System compares exactly as below:

Image title

From the information available, this is what I expect for the numbers of students attaining each grade – grades and boundaries specifically detailed by Ofqual Sept2014 are in red, and others are ‘intelligent’ guesses from exam board presentations.

In a nutshell, the most significant changes are as below:

  • Some very important formulae from the formula booklet have been removed. This is a big change as the formula to solve quadratic equations is no more there. Forget about being able to use this accurately, students find this formula very difficult to remember in the first place. The other formula taken off is that of Trigonometry (Sine and Cosine rules for finding missing sides and angles in a non-right angle triangle).
The best Maths tutors available
Paolo
4.9
4.9 (78 reviews)
Paolo
£35
/h
Gift icon
1st lesson free!
Intasar
5
5 (69 reviews)
Intasar
£129
/h
Gift icon
1st lesson free!
Sehaj
4.9
4.9 (56 reviews)
Sehaj
£60
/h
Gift icon
1st lesson free!
Johann
5
5 (48 reviews)
Johann
£60
/h
Gift icon
1st lesson free!
Hiren
5
5 (32 reviews)
Hiren
£149
/h
Gift icon
1st lesson free!
Poonam
5
5 (62 reviews)
Poonam
£100
/h
Gift icon
1st lesson free!
Harjinder
4.9
4.9 (163 reviews)
Harjinder
£25
/h
Gift icon
1st lesson free!
Syed
5
5 (68 reviews)
Syed
£50
/h
Gift icon
1st lesson free!
Paolo
4.9
4.9 (78 reviews)
Paolo
£35
/h
Gift icon
1st lesson free!
Intasar
5
5 (69 reviews)
Intasar
£129
/h
Gift icon
1st lesson free!
Sehaj
4.9
4.9 (56 reviews)
Sehaj
£60
/h
Gift icon
1st lesson free!
Johann
5
5 (48 reviews)
Johann
£60
/h
Gift icon
1st lesson free!
Hiren
5
5 (32 reviews)
Hiren
£149
/h
Gift icon
1st lesson free!
Poonam
5
5 (62 reviews)
Poonam
£100
/h
Gift icon
1st lesson free!
Harjinder
4.9
4.9 (163 reviews)
Harjinder
£25
/h
Gift icon
1st lesson free!
Syed
5
5 (68 reviews)
Syed
£50
/h
Gift icon
1st lesson free!
Let's go

The New Grading Scale for GCSE Qualifications

As per the reformed GCSE qualifications, the highest grade is a grade scale of 9 and the lowest is a grade scale of 1. The alignment of the new scale is based on the old A* to G scale.

  • In general, the same proportion of the students will get a grade of 4 and above who currently get a grade of C and above
  • In general, the same proportion of the students will get a grade of 7 and above who currently get a grade of A and above
  • In general, the same proportion of the students will get a grade of 1 and above who currently get a grade of G and above

All other grade boundaries (except Grade 9) will be set arithmetically, just as they are now.

For instance, the boundaries at grades 5 and 6 will be set on the basis of the difference in marks between grades 4 and 7; grade 5 will be set at one-third of the difference in marks, and grade 6 at two-thirds the difference in marks. Find out more about the grade scale. If you have any questions about the new grading system and mark scheme, visit this FAQ page on the Pearson website.

Assessment Summary

The Pearson Edexcel Level 1/Level 2 GCSE (9 to 1) Mathematics is a tiered qualification because it contains the following two tiers:

  • Foundation tier - grades 1 to 5 available
  • Higher tier grades – 4 to 9 available (grade 3 allowed).

The assessment for each tier of entry is comprised of three externally-examined papers. All three must be from the same tier of entry. Students must complete all three papers in the same assessment series.

Download past papers and mark schemes for all the papers of both tiers by clicking on the link below:

Past Papers and Mark Schemes 

Formula Sheet for Foundation Tier

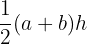
Perimeter, area and volume

Where a and b are the lengths of the parallel sides and h is their perpendicular separation:
Area of a trapezium =
The volume of a prism = area of cross-section × length
Where r is the radius and d is the diameter:
Circumference of a circle = 2πr = πd
Area of a circle =

Pythagoras's Theorem and Trigonometry

In any right-angled triangle where a, b and c are the length of the sides and c is the hypotenuse:

In any right-angled triangle ABC, where a, b and c are the length of the sides and c, is the hypotenuse:

Compound Interest

Where P is the principal amount, r is the interest rate over a given period and n is the number of times that the interest is compounded:
Total accrued =

Probability

Where P (A) is the probability of outcome A and P (B) is the probability of outcome B:
P (A or B) = P (A) + P (B) – P (A and B)

You can also download the foundation tier formula sheet here.

Download Foundation Tier Formula Sheet (Updated November 2022)

Formula Sheet for Higher Tier

Perimeter, area and volume

Where a and b are the lengths of the parallel sides and h is their perpendicular separation:
Area of a trapezium =
The volume of a prism = area of cross-section × length
Where r is the radius and d is the diameter:
Circumference of a circle = 2πr = πd
Area of a circle =

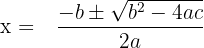
Quadratic formula

The solution of

where

Pythagoras's Theorem and Trigonometry

In any right-angled triangle where a, b and c are the length of the sides and c is the hypotenuse:

In any right-angled triangle ABC, where a, b and c are the length of the sides and c, is the hypotenuse:

In the triangle ABC where a, b, and c are lengths of the sides:

sine rule =

cosine rule =

Area of triangle =

Compound Interest

Where P is the principal amount, r is the interest rate over a given period and n is the number of times that the interest is compounded:
Total accrued =

Probability

Where P (A) is the probability of outcome A and P (B) is the probability of outcome B:
P (A or B) = P (A) + P (B) – P (A and B)

P (A and B) = P (A given B) P(B)

You can also download the higher-tier formula sheet here.

Download Higher Tier Formulae Sheet (Updated November 2022)

Whilst I understand the above move is to make British high school qualification comparable at par with other countries like Finland, Sweden, Germany and especially the Asian counterparts i.e. Singapore, Hong Kong, China and India. If you find this update informative please take a moment to share it on Facebook, LinkedIn or other platforms by clicking the share buttons on the left of this page.

Did you like this article? Rate it!

4.50 (2 rating(s))
Loading...
Emma

Emma

I am passionate about travelling and currently live and work in Paris. I like to spend my time reading, gardening, running, learning languages and exploring new places.