Chapters
Exercise 1
Write the following integers in increasing order, represent them graphically, and calculate the additive inverse and absolute values of the numbers:

Exercise 2
Write the following integers graphically in increasing order and calculate the additive inverse and absolute values.

Exercise 3
Remove the common factor in the following expressions:
1.
2.
3.
4.
Exercise 4
Calculate:
1
2
3
4
5
6
Exercise 5
Calculate:
1
2
3
Exercise 6
Solve, if it exists:
1
2
3

4

5

6

Exercise 7
Calculate:
1

2
3
4
5
6
7
8
9
10
Exercise 8
Calculate:
1

2
3
4
5
6
7
8
9
10
Solution of exercise 1
Write the following integers in increasing order, represent them graphically, and calculate the additive inverse and absolute values of the numbers:



Solution of exercise 2
Write the following integers graphically in increasing order and calculate the additive inverse and absolute values.

Solution of exercise 3
Remove the common factor in the following expressions:
1.

2.
3.
4.
Solution of exercise 4
Calculate:
1
2
3
4


5
6
Solution of exercise 5
Calculate:
1
2
3
−12 · 3 + 18 : (−12 : 6 + 8) =
4




5


6
Solution of exercise 6
Solve, if it exists:
1

2
no solution
3

no solution
4


5

no solution
6


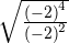
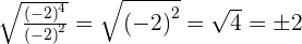
Solution of exercise 7
Calculate:
1

2
3
4

5

6

7

8

9


10



Solution of exercise 8
Calculate:
1


2

3

4

5

6

7

8

9

10


Very expensive, please lessen money amount.