Chapters
Sometimes, solving trigonometry is difficult and that is where these identities help us to make our work easier to solve as well as understand. There are many trigonometric identities that remembering all the identities might be difficult and that is why this lesson covers all trigonometric identities. Remember, you won't be asked to memorize all trigonometric identities but the objective is to understand them and then use them in the right place to make your work a lot easier. Below are all the trigonometric identities that you need to know.
The best Maths tutors available
Pythagorean Identities
1.
2.
3.
Cofunction Identities
1.
2.
3.
Even-Odd Identities
1.
2.
3.
4.
5.
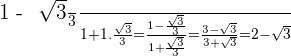
Sum and Difference of Angles Identities
1.
2.
3.
4.
5.
6.





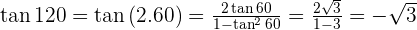
Double Angle Identities
1.
2.
3.



Half Angle Identities
1.
2.
3.



Sum to Product Identities
1.
2.
3.
4.




Product to Sum Identities
1.
2.
3.
4.




It was good and worth learning