The laws of logarithms are a set of rules that help simplify and manipulate logarithmic expressions. These rules allow us to break down complex expressions, solve exponential equations, and simplify formulas in everything from finance to physics. These laws provide guidelines for combining, splitting, and evaluating logarithms, making it easier to solve complex equations involving logarithmic functions. In this guide, we’ll walk you through the key logarithmic laws with clear explanations and examples—no advanced maths degree required.
| Rule Name | Log Rule Equation | Explanation |
|---|---|---|
| Product Rule | ![]() | Log of a product is the sum of the logs. |
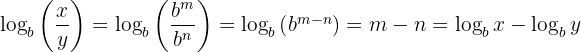
| Quotient Rule | ![]() | Log of a quotient is the difference of the logs. |
| Power Rule | ![]() | Log of a power is the exponent times the log. |
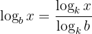
| Change of Base Rule | ![]() | Allows changing the base of a log to a different base. |
| Zero Exponent Rule | ![]() | Log of 1 is always 0, regardless of the base. |
| Log of One | ![]() | Log of the base to itself is always 1. |
| Log of Base | ![]() | The base raised to the log of a number returns the number. |
Without further ado, let's get underway, looking at some of the logarithm laws, and how you might use them in practice to solve tricky questions.
The Laws of Logarithms
There's something to bear in mind when looking at logarithm laws - in all the examples below, we just use "loga", the notation normally used with logarithms is either "log", when the logarithm function is using base10, or "loga", where "a" is a number, when the logarithm is using a different base.
Any law can be applied to any base system, provided there's no change of base in the expression. For example, all these laws apply to base3 numbers as well, as long as you use base3 for every number in your expression.

1. Log of 1 Rule
The log of 1 is always 0 because any number to the power of 0 equals 1.

Since any non-zero base raised to the power of 0 equals 1:
2. Log of a Number Equal to Its Base
The log of a number that’s the same as the base is always 1, because you raise it to the power of 1 to get itself.

The exponent needed to raise the base to itself is 1:
3. Product Rule
Multiplying inside the log becomes addition outside — logs turn multiplication into simpler addition.

This law uses addition and multiplication properties.
The first law states that adding the logarithms of two numbers (of the same base!) together is the same as taking the logarithm after we multiply the numbers together. Multiplying inside the logarithm turns into addition:
4. Quotient Rule
The second law states that subtracting the logarithms of two numbers (again, of the same base), is equivalent to dividing the two numbers and taking the logarithm of the result.

Dividing inside the logarithm becomes subtraction:
5. Power Rule
If something inside a log is raised to a power, you can move that power to the front as a multiplier.

The final logarithm law we'll look at may seem familiar to you - it's very similar to differentiating a term of an expression! The logarithm of a number raised to a power is the same as the whole logarithm being multiplied by that exponent, removing the exponent from the original expression.
An exponent inside the log moves to the front:
6. Change of Base Rule
You can rewrite a log in a different base using this formula — this is important to bear in mind when using calculators.

This allows you to convert a logarithm from one base to another — especially useful when using a calculator that only supports base 10 or natural logarithms (base e).
For example:
It works because both sides represent the same exponent when rewritten in exponential form.
7. Equality Rule
If two logs with the same base are equal, then the values inside must be equal too.

If two logarithms with the same base are equal, then their arguments must be equal. This is a one-to-one property of logarithmic functions. This property is especially helpful for solving log equations.
For instance, if:
then
8. Inverse Rule (Logarithms and Exponents)
Logs and exponents undo each other — they are opposites like adding and subtracting.


These two rules show that logarithms and exponents undo each other, like reverse operations:
First rule: Raising the base b to the power of the log of x gives x:
Second rule: Taking the log of a base raised to x gives back x:
Together, these rules confirm that logarithms are the inverse functions of exponentials.
How to Solve Logarithmic Equations
The law logs look pretty simple in isolation, but unfortunately, it's rarely so easy in an exam. Normally you'll be faced with the prospect of using any number of combinations of logarithmic functions in order to come up with an answer.
While this may seem daunting at first, as always, the best way to approach these problems is to tackle them in bitesize chunks: splitting the question into smaller problems. Solving logarithmic equations involves applying the properties of logarithms and algebraic manipulation. Here's a step-by-step guide:
- Evaluate Logs: If the unknown variable is outside the logarithm, use the base of the logarithm to evaluate the logarithm itself. For example, if you have ( \log_b(x) = y ), you can rewrite it as ( x = b^y ) to solve for ( x ). This is straightforward when the base and the argument of the logarithm are easy to work with, but may require a calculator for more complicated values.
- Convert to Exponential Form: If the unknown variable is inside the logarithm, rewrite the equation in exponential form. For example, for the equation ( \log_b(x) = y ), rewrite it as ( x = b^y ). This allows you to solve for the unknown variable by raising the base of the logarithm to the power of the other side of the equation.
- Combine Logs: If there are multiple logarithms in an equation, try to combine them using the properties of logarithms. For example, you can combine two logarithms with the same base by adding or subtracting them. This can simplify the equation and make it easier to solve.
- Check for Extraneous Solutions: After finding a solution, always check it to ensure it is valid. Some solutions may not be valid because they result in taking the logarithm of a negative number or zero, which is undefined. These are called extraneous solutions and should be discarded.
- Practice Algebraic Manipulation: Logarithmic equations often require algebraic manipulation such as factoring, combining like terms, or using the properties of exponents to solve. Practice these algebraic techniques to become more proficient in solving logarithmic equations.
Remember, solving logarithmic equations may sometimes involve trial and error or multiple steps, so patience and practice are key.
Law Logs Worked Example
Let's examine the log equation below:

A mixture of logarithm operations making up an expression
Here, all of the terms in our expression are in base10, so we don't specify a base. The question is, how can we simplify this? If you're able to spot the first step, then everything else pretty much works itself out.

All we've done here is rewrite the second logarithmic function, using the third one of the properties of logarithms that we looked at above. This lets us turn the second term of the expression into a polynomial. The second term we've ended up with (and the second term in the original question both evaluate the same) and are just expressed in different ways. If you don't believe me, you can check on a calculator by entering just the second term of the expression.
Do this once for the term we just created, and once for the original term, and you should see they're both the same value.
Now, at the end of the day, all numbers are numbers: this means that we can take our two to the power of three, and turn it onto 8. Let's do that:

This is starting to look nicer. We're getting closer to just being able to perform simple arithmetic. If you're not sure what's next, take a glance up at the logarithm laws we outlined earlier, and see if you can work out where to go from here.
The next step is to simplify even further, by removing another term. We can now use the first logarithm law we learnt, that adding two logarithms together is the same as multiplying their numerical terms. Once we've done this, we'll be left with two logarithms. We're nearly there!

We've multiplied the first two numbers together to make 32, and simplify our expression into two logarithms.
Take a look above, you'll see there's only one law left that we haven't used, and hopefully you'll also see that it fits the final stage of our problem perfectly! We can now subtract the two logarithms:

We can't simplify that fraction anymore, so our final answer becomes:

And we're done!

The Exponential Function
Let's get a special case out of the way first. You've probably come across the exponential function already, it's simply written using notation like "ex", and you may see it in an expression like so:

An exponent is the opposite of a logarithm.
In case you aren't too familiar with exponents, they hold a special property that makes them useful... The derivative of "e" (which is short for "exponential form") is equal to itself, that is to say, if we were to differentiate (learn more about Differentiation/integration problems here) the expression above, we'd end up with the following:

The derivative of the exponent.
When we use logarithms (also known as logarithmic functions), we typically use the "ln" notation to represent what's known as the "natural log" - this is the inverse function of the exponent. What exactly is the exponent? It's what's known as a "constant" because it never changes. "e" represents a specific real number with a lot of decimal places, so it's easier to just represent it using a common notation like a single letter. Just like we do for Pi!
Before we get started looking at the meaty part of logarithm rules, let's do a really quick sample question using natural logs.
Natural Logarithm Example
Here's an example question:
For the exponential equation below, solve for x:

This looks tricky on the face of it, but only because we have an "e" (exponential) thrown into the mix. I think we can all agree that once that's out of the picture, everything will get a lot easier. But how to go about that?
Well, thankfully "ln" has another handy property: it's the inverse of "e", this means that by adding it into our equation, we can cancel out the exponential - just like you might divide an equation by a number to get rid of a coefficient.
Let's do that now:

Remember, with equations everything we do on one side of the equation, has to be done on the other. Now, "ln" and "e" are going to cancel each other out, just like multiplying and then dividing by the same number would.
Once that's out of the way, we'll have our answer:

Our exponential equation has now been solved! We don't need to do anything else with the ln(...), as this represents a real number - put it into any graphing or scientific calculator and see!
Wrapping Up the Rules of Logs
The good news is that the laws of logarithms are fairly simple in their own right - all you really need is a sound understanding of basic arithmetic and you're well on your way. Where it gets trickier is combining these laws in order to solve more complex problems.
Logarithms are likely to come up frequently when you're faced with calculus questions, so make sure you're comfortable using them.
As always in math, practice makes perfect! Although these mathematical concepts don't seem like much on their own, they all add up to be essential cogs in a large machine! If you fancy some extra activities involving logarithmic equations and exponent functions, try graphing e(x) and ln(x), and see if you can spot any patterns.
If you do find yourself struggling, you might want to consider using SuperProf to find a maths tutor who can give you a helping hand remembering these identities. Don't worry if you're unsure of something, lots of students struggle with all sorts of mathematics problems: from trigonometry to solving quadratic equations!
As well as logarithms, you can find maths tutor on Calculus and Mechanic Forces for your maths GCSE and A level here.
Find out about online tuition for Maths here.
Summarise with AI:

















you quotient law incorrectly restates the product law. Your statement gives the correct explanation, but the formula displayed doesn’t match.
Hi Brad. Thank you so much for pointing that out. The article has now been amended. We really appreciate your attention to detail!
Goooooooooooood job done
Hi there! Great to hear that you found this article useful!
I don’t understand it
Thanks for reaching out! 😊 The laws of logs and exponential functions can be tricky at first. If there’s a specific part that’s confusing, feel free to ask, and we’ll do our best to explain it in simpler terms. You’ve got this! 📘✨
Thank you for this
Excellent.
Thanks keep up the good work
Thanks for the help
That’s good work. What if the bases are different
Thanks so much for your feedback! 😊 That’s a great question. When the bases are different, you can use the change of base rule (rule 6 in the article). This lets you rewrite logarithms in terms of a common base.
i have actually mastered this topic due to your explanation
Hi there! Thanks a lot for taking the time to comment! Great to hear that this article has helped you to develop your knowledge of logarithms!