Chapters
Every equation has a specific graph. For example,
is an equation that has a specific graph and if we change any part of the equation it will result in a new graph and trigonometric functions are no exception. These functions also have a specific graph and like others, if you change their parameter, it will result in a different graph. That graph can be similar to the original graph and it cannot be. For example, we have two equations
, and
, both equations have the same trigonometric functions but the only difference is that they both have different angles. The graph of both equations will be different but they will be similar to each other.
Before we start about different trigonometric functions, you should know all the elements of the trigonometric function. For example, you have
, the
Sine Function
y = sin x

Domain: 
Range: 
Period: 
Continuity: continuous at 
Increasing: 
Decreasing: 
Maximum: 
Minimum: 
Odd function: 
x-intercepts: 
Cosine Function
y = cos x

Domain: 
Range: 
Period: 
Continuity: continuous at 
Increasing: 
Decreasing: 
Maximum: 
Minimum: 
Even function: 
x-intercepts: 
Tangent Function
y = tan x

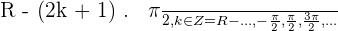
Domain: 
Range: 
Continuity: continuous at 
Period: 
Increasing: 
Maximum: No.
Minimum: No.
Odd function: 
x-intercepts: 
Cotangent Function
y = cot x

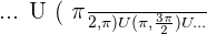
Domain: 
Range: 
Continuity: continuous at 
Period: 
Decreasing: 
Maximum: No.
Minimum: No.
Odd function: 
x-intercepts: 
Secant Function
y = sec x

Domain: 
Range: 
Period: 
Continuity: continuous at 
Increasing: 
Decreasing: 
Maximum: 
Minimum: 
Even function: 
x-intercepts: No
Cosecant Function
y = csc x

Domain: 
Range: 
Period: 
Continuity: continuous at 
Increasing: 
Decreasing: 
Maximum: 
Minimum: 
Odd function: 
x-intercepts: No
Summarise with AI:









It was good and worth learning