Chapters
In this article, we explain what area is, how it is measured in the metric system, and how to convert between different units of area. We also cover land area measurements and work through several conversion examples step by step.
What is Area?
Area is a measure of the amount of space inside a two-dimensional shape. It tells us the size of a surface.
One way to understand area is to imagine covering a shape with small squares of equal size. The number of squares that fit inside the shape gives its area. For example, if a rectangle placed on a grid is covered by exactly 30 squares, each measuring
, then the area of the rectangle is
.
Different shapes have different area formulas. Some common ones include:
- Rectangle:

- Triangle:

- Circle:

Knowing how to calculate area has many practical uses. For instance, you can work out how much paint is needed to cover a wall, or how many tiles are required to cover a kitchen floor.
Surface Area vs Area
It is important to distinguish between area and surface area:
- Area applies to flat (two-dimensional) shapes, such as rectangles, triangles, and circles.
- Surface area applies to three-dimensional objects, such as cuboids, cylinders, and spheres. It is the total area of all the faces of a 3D object added together.
For example, a cuboid has six rectangular faces. Its surface area is the sum of the areas of all six faces. The units used for area and surface area are the same (e.g.
,
).
SI Units of Area
The fundamental SI unit for measuring area is the square metre (
). This is equal to the area of a square with sides measuring 1 metre.
For larger and smaller areas, we use multiples and submultiples of the square metre. The key fact to remember is that each unit is 100 times larger than the next smaller unit, because area involves two dimensions (length multiplied by length).
| Unit | Symbol | Equivalent in m² |
|---|---|---|
| square kilometre | km² | 1,000,000 |
| square hectometre | hm² | 10,000 |
| square decametre | dam² | 100 |
| square metre | m² | 1 |
| square decimetre | dm² | 0.01 |
| square centimetre | cm² | 0.0001 |
| square millimetre | mm² | 0.000001 |
Land Area Measurements
Three special units are commonly used to measure the area of land:
Hectare (ha): Equal to one square hectometre.
Are (a): Equal to one square decametre.
Centiare (ca): Equal to one square metre.
How to Convert Between Units of Area
To convert between area units, multiply or divide by powers of 100 (not 10, because area is two-dimensional).
Converting to a smaller unit: multiply.
Converting to a larger unit: divide.
The number of places between units in the table tells you how many times to multiply or divide by 100.
Quick example: Convert
to
.
Since
:
Worked Examples
Convert
into
.
We are converting from a smaller unit to a larger unit, so we divide.


Convert
into
.
Since
, we divide by 100:

Convert
to
.
First, convert
to
:


Then convert
to
:


Convert
to
.
First, convert
to
:

Then convert
to
:

Convert
to
.
First, convert
to
:

Then convert
to
:

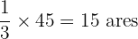
According to a planning rule, a building's ground floor cannot cover more than one-third of the total land area. John wants to construct a building on 45 ares of land. What is the maximum ground floor area in square metres?
First, find one-third of the land:

Now convert ares to square metres:


The maximum ground floor area is
.
A football pitch measures 105 m by 68 m. Express its area in hectares.

Convert to hectares:


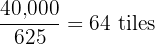
A square tile has a side length of 25 cm. How many tiles are needed to cover a floor of
?
Area of one tile:

Convert the floor area to
:

Number of tiles needed:

Convert 3.2 hectares into square centimetres.
First, convert hectares to square metres:

Then convert square metres to square centimetres:

A rectangular garden measures 12 m by 8 m. A circular pond with a radius of 2 m is in the centre. What is the remaining garden area (excluding the pond)?
Area of the garden:

Area of the pond:

Remaining area:

A farmer owns 2.5
of land. He sells 800 ares. How many hectares does he have left?
Convert
to hectares:


Convert 800 ares to hectares:


Remaining land:

Summarise with AI:








