Chapters
- Introduction
- Complex Multiplication Laws
- Real and Imaginary Number Multiplication
- Multiplicative Identity and Multiplicative Inverse
- Conjugate Multiplication and the Modulus
- Equations with Complex Solutions
- Visualization of Complex Number Multiplication
- Multiplication is Angle Addition
- Triangle Method
Introduction
We multiply 2 Complex numbers with
by treating each of them as binomials and using the normal form of binomial multiplication, the FOIL process (First, Outer, Inner, Last)
with which makes
is the Real part of the product
or
is the Imaginary part of the product
or
multiplied by
Example
and
with

or straight into form

The form already takes into account that there will be an
term, which will make
the opposite sign of the original product.
Example
and
with

Complex Multiplication Laws
Commutative Law

Example
and
then

Associative Law

Example
and
then

and

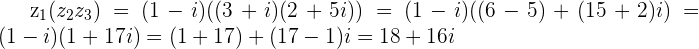
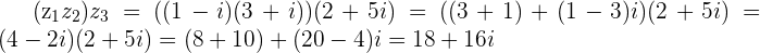
Multiplying 3 or more Complex numbers is the same process as 2 number multiplication, just with extra steps.
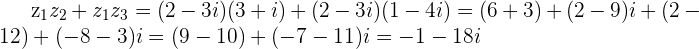
Distributive Law

Example
and
then

and

Real and Imaginary Number Multiplication
Real Multiplication
Multiplying a Complex number by a Real number just magnifies or shrinks the components of the number by the magnitude of the Real number.
Example
and
then

Multiplying a Complex number by doubles the
and
components and changes their sign.
Example
and
then

Multiplying 2 Real numbers together gives back a Real number as a product.
Imaginary Multiplication
Justification of
Example
and
then

Example
Ex. and
then

Multiplying a Complex number by an Imaginary number magnifies or shrinks the components by the magnitude of the Imaginary number, switches the magnitudes of the components and changes the sign of the y component.
Multiplicative Identity and Multiplicative Inverse
Multiplicative Identity
is the Multiplicative Identity of the Complex Numbers.
Example
and
then

Multiplying a Complex number by gives back the Complex number as the product.
Multiplicative Inverse
The Multiplicative Inverse of a Complex number
is

Example
and
then

This shows that gives back the Multiplicative Identity as the product.
Conjugate Multiplication and the Modulus
Conjugate Multiplication gives the Square of the Modulus
When we multiply a Complex number by its conjugate
, we obtain the square of the modulus

of the Complex number .
If then
and

Example
and
The modulus of its conjugate is also equal to

and
then
The Conjugate of a Product
The conjugate of the product of 2 Complex numbers is equal to the product of the conjugates of 2 Complex numbers.

Example








The Modulus of a Product
We want to show that the identity holds true
Example
and
then


and then by taking the square root of both sides of the equation
we can deduce that
which is an important and useful identity that shows that the modulus of a product is equal to the product of each modulus.
Equations with Complex Solutions
We may encounter equations that involve the square of an unknown Complex number set equal to another known Complex number
where we have to solve for the Complex number's Real and Imaginary parts
Example
with
then

we set the Real part of equal to
and the Imaginary part of
equal to
and have two equations
and
or
we can solve for and
by finding the modulus of

and by using the identity
we can say and use this to find
and
and

and
and
and
then the first solution
and
and
then the second solution is
Checking the solutions


Visualization of Complex Number Multiplication
Introduction
Multiplication by is a 90 degree rotation in the
.
Multiplying a positive Real number by switches the number from the positive
to the positive
Example
and
with

or just
and multiplying a negative Real number by switches the number from the negative
to the negative
Multiplying a positive Imaginary number by switches the number from the positive
to the negative

Example
and

and multiplying a negative Imaginary number by switches the number from the negative
to the positive
Multiplying a Complex number by switches the
and
components and changes the sign of the switching
component
Example


switches to
and
switches to
Example


The product of the multiplication of 2 Complex numbers is another Complex number
Example
and
then


Multiplication is Angle Addition

Triangle Method

It is a good for me for giving some help in order to understand very well
this qwestion is necessary
l need support for complex numbers , inverse of quadratic equation, set theory