Solving Systems of Equations by the Elimination Method
1
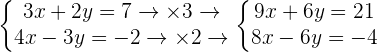
Prepare the two equations and multiply by the appropriate numbers in order to eliminate one of the unknown values.
2
Add the systems and eliminate one of the unknowns.
3
Solve the resulting equation.
4
Substitute the value obtained into one of the initial equations and then solve.
5
The two values obtained are the solution of the system.

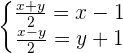
The easiest method is to remove the y, this way the equations do not have to be prepared. However, by choosing to remove the x, the process can be seen better.

Add and solve the equation:



Replace the value of y in any of the equations, we are replacing in the second equation.




Solution:



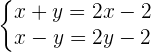
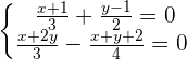
Adding both equations:


Replacing the value of y in the first equation:





Solution:



Adding both equations



Replacing the value of x in the first equation:







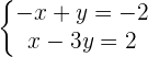
Adding both equations:



Plugging the value of y in the first equation:







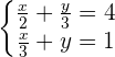
Adding both equations:



Replacing the value of y in the third equation:










Adding both equations:



Replacing the value of y in the third equation:






