How To Solve Systems of Equations by the Substitution Method
The best Maths tutors available
1.
Work out the value of an unknown in one of the equations.
2.
Substitute the expression of this unknown in the other equation, obtaining an equation with one unknown.
3.
Solve the equation.
4.
The value obtained is substituted into the other equation.
5.
The two values obtained are the solution of the system.
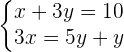
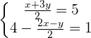
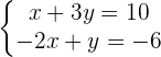
Q. Find the value of unknowns using the substitutional method.
1
Work out the value of x.
2
Substitute into the other equation the value of x:
3
Solve the equation obtained:
4
Substitute the value obtained.
5
Solution:

Summarise with AI:









Hi , I m Abhishek Mittal , a passionate maths assistant professor, having experience more than 10 years with almost all top brands (Cuemath, Byjus, FIITJEE, Allen) online and offline and in-person .
Want to join Superprof , Kindly guide me.
Hi Abhishek, thanks so much for reaching out! With your experience, you’d be a fantastic fit for Superprof.
Joining is simple:
1. Visit the Superprof website and click “Become a tutor”.
2. Create your profile, add your teaching experience, qualifications and subjects.
3. Upload a clear photo and write a friendly, detailed description of your teaching style — this really helps students choose you.
4. Set your rates and availability, and once your profile is validated, students can start contacting you directly.
If you need help setting up or optimising your profile, feel free to write to our customer services team at hello@superprof.com — they’ll be happy to guide you!
nice work
Thank you! 😊 We’re glad you found the worksheet helpful. Keep up the great work with your studies!