Equations vary in many shapes and limits. Every equation is different from another and that is the beauty of equations. One of the most frequently asked questions is that why do we graph a system of equations? The answer is simple, to find solutions of the system. A system can many equations. It means that there is no limit of equations in a system, however, the less they are, the easier they are to solve. Imagine a system with two equations. Both equations are linear and they are plotted on a graph. Finding solutions of that system means that finding all those points at which both lines intersect each other. If your concepts about straight lines are good then you might have predicted that there will be only one set of solution since we are talking about linear equations here but a system can have different types of equations as well. For example, a system has a cubic equation, two straight-line equations, and one quartic equation. This system might have more than one set of solution and in some cases, a system might not have any set of solution and that is why, in this lesson, you will learn types of systems.
Types of Systems
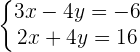
Consistent Independent System
If the system has just one set of solution, that means the system is a consistent independent system.

Solution of the system
Graphically, the solution is the intersection point of the two straight lines.
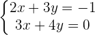
Consistent Dependent System
If the system has an infinite set of solutions, that means the system is a consistent dependent system.

If you solve the above equation, it will result in which means that the system will have infinite solutions.
Graphically, two identical straight lines are obtained and any point on the line is a solution.
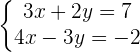
Inconsistent System
If the system has no set of solutions, that means the system is a inconsistent system.

Once you solve both equations simultaneously, you will be left with
Graphically, two parallel straight lines are obtained.


What is the Need For All of This?
You might be thinking what is the benefit of this? This can make your work easier, for example, you are doing research work and found that a system with different equations. You will solve the whole system and let's say you came up with an answer that the system is an inconsistent system. Another researcher carried out your research but in a different location to compare the results. That researcher came up with the same system that you encountered. Now that researcher will waste his/her precious time to solve that equation and not to mention if he/she did a human error then that would lead to numerous results. That is why mathematicians categorized the system. When you published your research work, you will mention the system is an inconsistent system and this will save time for the other researchers, they will need to reference it and this will save a lot of time and effort for other people.