Chapters
In this article, we will discuss the concept of the angle between a line and a plane in detail. Before proceeding to discuss this concept, first, let us see what is a straight line and a plane.
What is a Straight Line?
A straight line which is also known as a line in geometry is a two-dimensional figure in which an infinite number of points extend out in any direction. A straight line is a part of 2D geometry, and it has no width or height. The length of the straight line is infinite.
What is the Plane?
A plane is a flat surface that is formed when an infinite number of points extend without limits in any direction. It is also a 2-D figure because like a straight line, it does not have any thickness, rather it has only length and width. For example, if you draw something on a flat paper, then it means that you are drawing something on a plane.
Angle Between a Line and a Plane
An angle between a line and a plane is formed when a line is inclined on a plane, and a normal is drawn to the plane from a point where it is touched by the line. This angle between a line and a plane is equal to the complement of an angle between the normal and the line.
There can be the following three scenarios when a straight line and the plane can exist together:
- The line can be on the plane
- The line can be parallel to the plane
- The line can be secant
The angle formed between the plane and a straight line will be different in each of the above three circumstances.
- If the straight line is present on the plane or is parallel to it, then the angle formed between the line and plane will be 0 degrees.
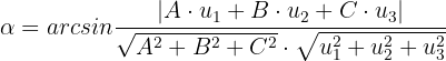
- If a line is a secant to the plane, then the angle formed between them is represented by
. This angle that is formed between the line and a plane is actually the angle formed by the straight line with its orthogonal projection on the plane.
In other words, we can say that the angle between a straight line and a plane is an angle formed between the line and its orthogonal projection on the plane.
This phenomenon is shown in the figure below as it shows the angle between a line r and a plane
.

If we have the information about the following elements, then we can determine the angle between a line and the plane using the formula below:
- The plane

- The straight line

- Governing vector

- The normal vector of the plane




If the line, r, and the plane, π, are perpendicular, the direction vector of the line and the normal vector of the plane have the same direction and therefore its components are proportional:

Now, let us proceed to the following examples in which we will use the above formula to determine the angle between a straight line and the plane.
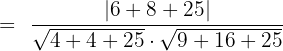
Example 1
Determine the angle between a line
and the plane
.
Solution
From the equations of the plane and a straight line, we can find:
Governing vector of the line = 
The normal vector of the plane = 
Put these values in the following formula to get the angle:




Hence, the angle between the line
and the plane
is approximately equal to 45 degrees.
Example 2
Determine the angle between the line
and the plane
.
Solution
From the equations of the plane and a straight line, we can find:
Directions vector of the line = 
The normal vector of the plane = 
Put these values in the following formula to get the angle:




Hence, the angle between the line
and the plane
is approximately equal to 67.09 degrees.
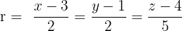
Example 3
Determine the angle between the line and the plane:
Solution
From the equations of the line and the plane in this example, we can find:
Directions vector of the line: 
Normal vector of the plane: 
Substitute these values in the formula below to get the angle:




Hence, the angle between the line
and the plane
is approximately equal to 30 degrees.
Example 4
Find the angle between the following line and the plane:
Solution
From the equations of the line and plane, we can get the following information:
Directions vector of the line = 
Normal vector of the plane = 
Put these values in the following formula to get the angle:






Hence, the angle between the line
and the plane
is approximately equal to 0.960 degrees.
Find various Maths tuition on Superprof.









I WANT TO CONTINUE WITH SOLVED PROBLEMS OF APPLICATION OF CROSS PRODUCTS OF VECTORS