In this article, we will discuss how to calculate the distance between the point and the line using vectors.
Distance Between Point and the Line
The distance from a point, P, to a line, r, is the shortest distance from the point to one of many points on the line.
The distance is equal to the length of the perpendicular line drawn from the point to the line.

The vector formula to calculate the distance between a line and the point is given below:

Here,
represents the direction vectors and
represents the distance between the point P and point A on the line.
Now, we will see how to calculate the distance between the point and the lines using the above formula.
Example 1
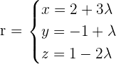
Determine the distance from the point P = (1, 3, −2) to the line
.
Solution
First, we have to calculate
.
We need to treat each of the
,
, and
coefficients on the vector i, j, and k.

= 
Now, we will make two groups. The first group will have all the values that contain
and the second group will have all he values that don't contain
:
= 
Now, we will factor out
from the second group like this:
= 
The coefficients in the first group tell us the point from which the line passes through and the coefficients in the second group tell us about the direction vectors.
Hence, the direction numbers for the line are
and the coordinates of the point through which the lines passes are
.
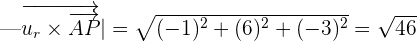
We have to calculate the distance between the point P (1, 3, -2) and point on the line A (2, -1, 1).
Since have both A and P, hence we can easily calculate
like this:

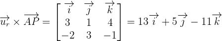
Now, we will find the cross product of
using determinant:
Put these values in the following formula to get the distance:


Example 2
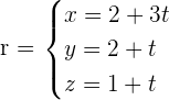
Determine the distance from the point P = (2 , 1, −1) to the line
.
Solution
First, we have to calculate
.
We need to treat each of the
,
, and
coefficients on the vector i, j, and k.

= 
Now, we will make 2 groups. One group will have all the values that contain t and the other group will have all the values that do not contain t like this:
= (2i + 2j + k) + (3ti + tj + tk)
Now, we will factor out t from the second group like this:
= 
The coefficients in the first group tell us the point from which the line passes and the coefficients in the second group tell us about the direction vectors.
Hence, the direction numbers for the line are
and the coordinates of the point through which the lines passes are
.
We have to calculate the distance between the point P (2 , 1, −1) and point on the line A (2, 2, 1).
Since have both A and P, hence we can easily calculate
like this:

Now, we will find the cross product of
using determinant:
Put these values in the following formula to get the distance:


Example 3
. Solution
First, we have to calculate
.
We need to treat each of the
,
, and
coefficients on the vector i, j, and k.

= 
Now, we will make 2 groups. One group will have all the values that contain t and the other group will have all the values that do not contain t like this:
= (i + 4j + k) + (3ti + tj + 4tk)
Now, we will factor out t from the second group like this:
= 
The coefficients in the first group tell us the point from which the line passes and the coefficients in the second group tell us about the direction vectors.
Hence, the direction numbers for the line are
and the coordinates of the point through which the lines passes are
.
We have to calculate the distance between the point P (3 , 1, 2) and point on the line A (1, 4, 1).
Since have both A and P, hence we can easily calculate
like this:

Now, we will find the cross product of
using determinant:
Put these values in the following formula to get the distance:


Example 4
Determine the distance from the point P = (1, 2, 3) to the line 
Solution
Here, A = (2, 3, 4) and
= (4, 4, 2)
Put these values in the following formula to get the distance:


Example 5
Determine the distance from the point P = (2, 2, 4) to the line 
Solution
Here, A = (3, 1, 6) and
= (2, 2, 4)
Put these values in the following formula to get the distance:


Find various Maths tuition on Superprof.
Summarise with AI:









I WANT TO CONTINUE WITH SOLVED PROBLEMS OF APPLICATION OF CROSS PRODUCTS OF VECTORS