Chapters
Exercise 1
Given the matrices:

Solve the matrix equation:

Exercise 2
Given the matrices:

Solve the matrix equation:

Exercise 3
Given the matrices:

Solve the matrix equations:
Exercise 4
Given the matrices:

Solve the matrix equation:

Exercise 5
Solve the matrix equation:


Exercise 6
Solve the system using a matrix equation.

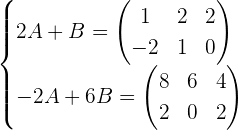
Exercise 7
Calculate A and B:

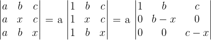
Exercise 8
Solve the following equations without developing the determinants.
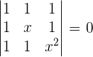
1
2
Solution of exercise 1
1Given the matrices:

Solve the matrix equation:

there is the inverse





Solution of exercise 2
Given the matrices:

Solve the matrix equation:

there is the inverse











Solution of exercise 3
Given the matrices:

Solve the matrix equations:
1.




2.





3.



4.





5.





Solution of exercise 4
Given the matrices:

Solve the matrix equation:










Solution of exercise 5
Solve the matrix equation:














Solution of exercise 6
Solve the system using a matrix equation.










Solution of exercise 7
Calculate A and B:

Multiply the second equation by −2.

Add the equations.

Multiply the first equation by 3 and add the equations:

Solution of exercise 8
Solve the following equations without developing the determinants.
1




2


I appreciate your work, thanks so much keep up the good work ✅
Hello Little P! Thanks very much for the positive feedback!
I didn’t get the same answer for the second question, ive also asked my friends and we all got the same answer it just didnt line up with yours. Apart from that, great website and thanks for the exercises.
Very nice and good explanation of matrix
Give some more examples of matrix
I want to more study about matrix that’s why I’m using Google