In this worksheet, you'll practise solving systems of linear equations using the elimination method, one of the key techniques for solving simultaneous equations.

beenhere
What Is The Elimination Method?

The elimination method involves combining two equations in a system in a way that eliminates one of the variables, usually by adding or subtracting the equations. This allows you to solve for the remaining variable and then substitute it back to find the other.

The best Maths tutors available
Poonam
5
5 (65 reviews)
Poonam
£100
/h
Gift icon
1st lesson free!
Paolo
4.9
4.9 (82 reviews)
Paolo
£35
/h
Gift icon
1st lesson free!
Sehaj
4.9
4.9 (58 reviews)
Sehaj
£60
/h
Gift icon
1st lesson free!
Anthony
5
5 (82 reviews)
Anthony
£15
/h
Gift icon
1st lesson free!
Mishi
4.9
4.9 (36 reviews)
Mishi
£45
/h
Gift icon
1st lesson free!
Johann
5
5 (53 reviews)
Johann
£60
/h
Gift icon
1st lesson free!
Hiren
5
5 (32 reviews)
Hiren
£149
/h
Gift icon
1st lesson free!
Harjinder
4.9
4.9 (163 reviews)
Harjinder
£25
/h
Gift icon
1st lesson free!
Poonam
5
5 (65 reviews)
Poonam
£100
/h
Gift icon
1st lesson free!
Paolo
4.9
4.9 (82 reviews)
Paolo
£35
/h
Gift icon
1st lesson free!
Sehaj
4.9
4.9 (58 reviews)
Sehaj
£60
/h
Gift icon
1st lesson free!
Anthony
5
5 (82 reviews)
Anthony
£15
/h
Gift icon
1st lesson free!
Mishi
4.9
4.9 (36 reviews)
Mishi
£45
/h
Gift icon
1st lesson free!
Johann
5
5 (53 reviews)
Johann
£60
/h
Gift icon
1st lesson free!
Hiren
5
5 (32 reviews)
Hiren
£149
/h
Gift icon
1st lesson free!
Harjinder
4.9
4.9 (163 reviews)
Harjinder
£25
/h
Gift icon
1st lesson free!
Let's go

A Review of the Elimination Method in Algebra

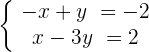
Suppose you have the following system of equations:

You can eliminate the ( x ) variable by subtracting Equation 2 from Equation 1:

Now substitute ( y = 3 ) back into one of the original equations:

So, the solution is ( x = 3.5 ), ( y = 3 ).

Elimination Method Class 10 Extra Questions

Now it’s your turn! Use the elimination method to solve the systems on this worksheet. Make sure to check your answers by substituting your solutions back into the original equations.

1

Solution

Adding both equations:

Plugging the value of y in any of the equation above:

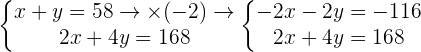
2

 

Solution

Adding both equations:

Plugging the value of x:

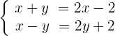
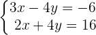
3

Solution

Subtracting equation 3 from equation 1:

Plugging the value of y in the first equation:

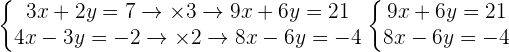
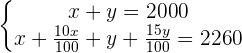
4

Solution

Adding both equations:

 

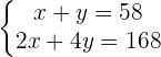
5

Solution

 

6

Solution

Plugging the value of y in the second equation:

Plugging the value of y in the third equation:

7

Solution

Adding both equations:

Plugging the value of y in the first equation:

8

Solution

Adding both equations:

Summarise with AI:

Did you like this article? Rate it!

4.03 (67 rating(s))
Loading...
Emma

Emma

I am passionate about travelling and currently live and work in Paris. I like to spend my time reading, gardening, running, learning languages and exploring new places.