A branch of mathematics that deals with the counting, combination, and permutations of elements in a set is known as combinatorics. We use the term combinatorics to describe the humongous subset of discrete mathematics that also encompasses graph theory.
Combinatorics is all about counting; therefore, while solving the problems related to combinatorics, you will deal with the enumeration of things. In other words, we can say that it deals with the counting of the number of arrangements in which something can happen.
Indian, Arabian, and Greek mathematicians are the pioneers of combinatorics. The interest in the subject reached its peak during the 19th and 20th centuries. Some notable mathematicians who worked in this field are Blaise Pascal, Leonhard Euler, and Jacob Bernoulli.
There are two main concepts of combinatorics: combination and permutation. Both these concepts are used to enumerate the number of orders in which things can happen. However, there is one difference between the two terms, and that is the combination deals with counting the number of arrangements in which an event can occur, given that the order of arrangements does not matter. Whereas the order of arrangements matters in the permutation. Like permutation, the combination is of two types:
- Combination with repetition
- Combination without repetition
In this article, we will only discuss the combination with repetition.
Combination With Repetition
Let's suppose there are p elements in a set A. We are asked to select q elements from this set, given that each element can be selected multiple times. This is known as a combination with repetition. For instance, we can make combinations of three elements of the set {p, q, r, s} in this way:
ppp, ppq, ppr, pps, pqq, pqr, pqs, prr, prs, pss, qqq, qqr, qqs, qrr, qrs, qss, rrr, rrs,rss, sss
You can see that most of the letters are repeated more than once.
Let us consider another example:
Three flavours of ice cream are available in an ice cream cafe. These flavours are chocolate, vanilla, and pineapple. A person can have only two scoops of ice cream. What will be the variations in this case?
Well, if the person can select two scoops at a time, then he can have one flavour twice. In this case, the examples of variations can be:
chocolate, chocolate, vanilla chocolate, chocolate pineapple, etc.
The order does not matter, and flavors can be repeated.
Combinations with Repetitions Formula
You can use the formula below to find out the number of combinations when repetition is allowed.

Here, n = total number of elements in a set
r = number of elements that can be selected from a set
We will now solve some of the examples related to combinations with repetition, which will make the whole concept clearer.
Example Combinations with Repetition Problems
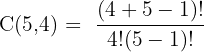
There are five colored balls in a pool. All balls are of different colours. In how many ways can we choose four pool balls?
The order in which the balls can be selected does not matter in this case. The selection of balls can be repeated.
Total number of balls in the pool= n = 5
The number of balls to be selected = r = 4
Use the following formula to get the number of arrangements in which the four pool balls can be chosen.

Substitute these values in the above formula:





Hence, the pool balls can be selected in 70 different ways.
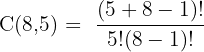
There are eight different ice cream flavours in the ice cream shop. In how many ways can we choose five flavours out of these eight flavours?
The order in which the flavours can be selected does not matter in this case. One ice-cream flavour can be selected multiple times.
Total number of ice-cream flavors = n = 8
The number of ice-cream flavours to be selected = r = 5
Use the following formula to get the number of arrangements in which the five ice-cream flavours can be chosen.

Substitute these values in the above formula:




Hence, the ice-cream flavours can be selected in 792 ways.
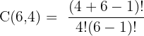
Harry has six different colored shirts. In how many ways can he hang the four shirts in the cupboard?
The order in which the shirts can be selected does not matter in this case. The shirts can be repeated.
Total number of shirts = n = 6
The number of shirts to be selected = r = 4
Use the following formula to get the number of arrangements in which the four shirts can be chosen.

Substitute these values in the above formula:




Hence, the shirts can be displayed in 126 different ways.
Alice has seven different chocolates. How many ways can five chocolates be selected?
The order in which the chocolates can be selected does not matter in this case. The flavours can be repeated.
Total number of chocolates = n = 7
The number of chocolates to be selected = r = 5
Use the following formula to get the number of arrangements in which the four shirts can be chosen.

Substitute these values in the above formula:




Hence, the chocolates can be selected in 462 ways.
Sam has five colored pencils. In how many ways can he select three pencils?
The order in which the pencils can be selected does not matter in this case. The pencils can be repeated.
Total number of pencils = n = 5
The number of pencils to be selected = r = 3
Use the following formula to get the number of arrangements in which the five pencils can be chosen.

Substitute these values in the above formula:




Hence, the pencils can be selected in 35 different ways.
Mariah has ten different candies. How many ways can six candies be selected?
The order in which the candies can be selected does not matter in this case. The candies can be repeated.
Total number of candies = n = 10
The number of candies to be selected = r = 6
Use the following formula to get the number of arrangements in which the six candies can be chosen.

Substitute these values in the above formula:



Hence, the candies can be selected in 5005 different ways.
Summarise with AI:









Binomial theorem’s and permutation and combination’s
Hi there! Thanks for your comment! The topics of the binomial theorem, permutations, and combinations are all closely related — great concepts to explore together!
Is problem 5 correct?
The last part is 10! Divided by 4!5!.
Thanks for your comment! 😊 You’re right to double-check that step — it’s great to see such careful attention. In this case, the expression 10!/(4!5!) doesn’t apply to this particular problem, as it represents a combination rather than the arrangement described. The correct solution is shown in the explanation above, and we’ve double-checked that problem 5 is correct as written.
Thanks again for taking the time to point it out!
Amazing content
It really help a lot to me…keep it up..
I need some solutions for numbers
Exercises 1 to 12 have covered the different types of combinations.
Bravo for the exercises.
Thanksssss