Permutations and combinations are two fundamental concepts in combinatorics that describe different ways of selecting objects from a set. In both cases, items are typically chosen without replacement unless stated otherwise.
Although the two terms are related, there is a key distinction between them:
- A combination is a selection of items where the order does not matter.
- A permutation is a selection of items where the order matters.
In other words, a permutation is an ordered combination.
Illustrative examples:
- "This basket contains carrots, onions, and potatoes." — We only care about which vegetables are present, not the order in which they appear. This is a combination.
- "The PIN code of my phone is 8745." — The digits must appear in exactly this sequence for the code to work. This is a permutation.
The General Permutation Formula (Without Repetition)
When selecting
items from a set of
distinct items without repetition, and where order matters, the number of permutations is:
where
(read as "
factorial") is the product of all positive integers from 1 to
:
By convention,
.
Types of Permutations
1. Permutations With Repetition
When repetition is allowed — meaning the same item can be chosen more than once — the counting is straightforward.
If there are
types of objects and we want to select
items (with repetition), we have
choices for each of the
positions. By the multiplication principle, the total number of permutations is:
Example: Suppose we select two numbers from the set
with repetition allowed. The number of possible ordered pairs is:
We get 10,000 permutations.
2. Permutations Without Repetition
When repetition is not allowed, each selection reduces the pool of available items by one.
Example: Hannah must choose 3 balls from a pool of 8 differently coloured balls, where order matters. Her choices proceed as follows:
- 1st pick: 8 options
- 2nd pick: 7 options (one ball already chosen)
- 3rd pick: 6 options
Total permutations:
This means there are 336 different ways of picking 3 balls arranged in order from 8 balls.
Using the general formula:
Special case — selecting all items: If all
items are selected (
), the number of permutations is simply:
For example, if Hannah arranges all 8 balls in a row:
Worked Examples
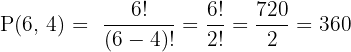
Example 1
Calculate
.
Applying the formula:

Example 2
Calculate
.
Since no value of
is specified, we compute the full factorial:

Example 3
A box contains 7 different chocolates. In how many ways can 4 chocolates be selected and arranged (without repetition)?
Here
and
. Using the permutation formula:

There are 840 possible ordered selections.
Example 4
A bag contains 9 distinct balls. In how many ways can 5 balls be selected and arranged (without repetition)?
Here
and
:

There are 15,120 possible ordered selections.
Example 5
There are 4 girls and 3 boys in a classroom. The teacher wants the girls to occupy only the even-numbered seats in a row of 8. How many seating arrangements are possible?
Step 1 — Seat the girls. In a row of 8 seats, the even-numbered positions are 2, 4, 6, and 8. The 4 girls can be arranged in these 4 seats in:

Step 2 — Seat the boys. The remaining 3 odd-numbered positions (1, 3, 5) are filled by the 3 boys:

Step 3 — Apply the counting principle. Since the two arrangements are independent:

Hence, the total number of seating arrangements possible is 144.
Example 6
How many different 4-letter arrangements can be formed using the letters A, B, C, D, E, and F (without repeating any letter)?
Here
(the available letters) and
(the number of positions to fill):

There are 360 possible 4-letter arrangements.
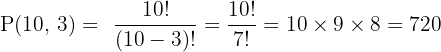
Example 7
A race has 10 runners. In how many ways can the gold, silver, and bronze medals be awarded?
The medals are distinct (order matters), and no runner can win more than one medal, so
and
:

There are 720 possible ways to award the three medals.
Example 8
A digital lock uses a 4-digit code, where each digit can be any number from 0 to 9 and repetition is allowed. How many possible codes are there?
Since repetition is allowed, we use the formula
, where
(digits 0–9) and
(positions):

There are 10,000 possible codes.
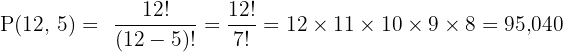
Example 9
In how many ways can 5 students be seated in a row of 12 chairs?
We are choosing 5 chairs out of 12 and the order in which students sit matters, so
and
:

There are 95,040 possible seating arrangements.
Example 10
A shelf holds 8 different books. A librarian wants to display 3 maths books on the left and then 2 science books on the right, chosen from 5 maths books and 3 science books available. How many arrangements are possible?
Step 1 — Arrange the maths books. Choose and arrange 3 books from 5:

Step 2 — Arrange the science books. Choose and arrange 2 books from 3:

Step 3 — Apply the counting principle. Since the two selections are independent:

There are 360 possible display arrangements.
Summarise with AI:









Binomial theorem’s and permutation and combination’s
Hi there! Thanks for your comment! The topics of the binomial theorem, permutations, and combinations are all closely related — great concepts to explore together!
Is problem 5 correct?
The last part is 10! Divided by 4!5!.
Thanks for your comment! 😊 You’re right to double-check that step — it’s great to see such careful attention. In this case, the expression 10!/(4!5!) doesn’t apply to this particular problem, as it represents a combination rather than the arrangement described. The correct solution is shown in the explanation above, and we’ve double-checked that problem 5 is correct as written.
Thanks again for taking the time to point it out!
Amazing content
It really help a lot to me…keep it up..
I need some solutions for numbers
Exercises 1 to 12 have covered the different types of combinations.
Bravo for the exercises.
Thanksssss