Vectors can be multiplied by each other but it isn't as simple as you think. There are two types of multiplication in vectors. One is the dot product which is also known as scalar product and another one is the cross product. The cross product of two vectors is another perpendicular vector to the two vectors. The direction of the resultant vector can be determined by the right-hand rule. The thumb (u) and index finger (v) held perpendicularly to one another represent the vectors and the middle finger held perpendicularly to the index and thumb indicates the direction of the cross vector.
There are some points that you need to remember when using the cross product. The first point is that
is a vector and the second point is that
if both vectors (
and
) are parallel or in opposite direction. However, if both vectors are perpendicular then the
will be equal to the product of their magnitudes. This all happens because of the
ratio because
is the product of magnitudes of both vectors and 


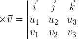
The cross product can be expressed by the determinant:
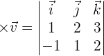
Calculate the cross product of the vectors
and
.
Find the cross product of the vectors
and
and check that the resultant vector is orthogonal to
and
.
The cross product of
is orthogonal to the vectors
and
.
Find various Maths tutors near me on Superprof.
Area of a Parallelogram
Geometrically, the magnitude of the cross product of two vectors coincides with the area of the parallelogram whose sides are formed by those vectors. We all know that area of the parallelogram is equal to
. Let's solve for h:

Plugging the value of h in the area of parallelogram equation:
Example
Find the area of the parallelogram which is formed by the vectors
and 
Area of a Triangle
There are many methods to find the area of a triangle, however, finding the area with the help of vectors? That is possible as well. To understand this, you need to be familiar with
law.

Since we know that
, hence:

Example
Determine the area of the triangle whose vertices are the points
and
.
Cross Product Properties
1. Anticommutative.
2. Compatible with scalar multiplication.
3. Distributive over addition.
4. The cross product of two parallel vectors is equal to the zero vector.
5. The cross product
is perpendicular to
and
.
Summarise with AI:








