Chapters
The best Maths tutors available
Exercise 1
Solve:
1 
2 
3 
4 
Exercise 2
Solve:
1 
2 
3 
4 
Exercise 3
Solve:
1 
2 
Exercise 4
Solve:
1 
2 
3 
4 
Exercise 5
Solve:
Exercise 6
Solve:
Exercise 7
Solve:
Solution of exercise 1
Solve:
1 
2 
3 
4 
Solution of exercise 2
Solve:
1 
2 

3 

4 
Solution of exercise 3
Solve:
1 
2 
Solution of exercise 4
Solve:
1 
2 


3 
4 

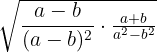
Solution of exercise 5
Solve:
Solution of exercise 6
Solve:
Solution of exercise 7
Solve:
Summarise with AI:








