A parabola is one of the most important and fascinating curves in mathematics. It appears in physics, engineering, architecture, and even everyday life — from the path of a thrown ball, to the shape of satellite dishes and car headlights.
In coordinate geometry, the parabola belongs to the family of conic sections — curves formed when a plane cuts through a cone. Mathematically, a parabola is defined as the set of all points that are equidistant from a fixed point (the focus) and a fixed line (the directrix).
Parabola Essentials
Before solving problems, it is vital to understand the geometric definition of a parabola: it is the set of all points (x, y) that are equidistant from a fixed point called the focus and a fixed line called the directrix.
Key Terminology
- Vertex (V): The "turning point" of the curve. It is the midpoint between the focus and the directrix.
- Focus (F): A point located on the "inside" of the parabola's curve.
- Directrix (d): A line perpendicular to the axis of symmetry located on the "outside" of the curve.
- Focal Length (p): The distance from the vertex to the focus (or from the vertex to the directrix).
- If p > 0, the parabola opens in the positive direction (up or right).
- If p < 0, the parabola opens in the negative direction (down or left).
- Axis of Symmetry: The line that passes through the vertex and focus, dividing the parabola into two mirrored halves.

Deriving the Standard Equation
Let’s consider the simplest case — a parabola whose vertex is at the origin (0, 0) and which opens upward.
- Focus: (0,p)
- Directrix: y=−p
- Axis of symmetry: y-axis
For any point P(x,y) on the parabola:

Squaring both sides and simplifying gives:




This is the standard equation of a vertical parabola (opening upward if p>0, downward if p<0).
Similarly, for a horizontal parabola (opening right or left):

Below is a diagram showing a simply parabola opening upwards, with vertex at (0,0), focus at (0,3), directrix at y=-3 and the y-axis as the axis of symmetry:

Variations to the Standard Equation
If we shift the parabola so that its vertex is no longer at (0, 0), but at (h, k), then every point on the parabola must now be measured relative to that vertex. This means:
- Instead of x, we use (x−h)
- Instead of y, we use (y−k)
This gives us the vertex form of the parabola.
For a vertical parabola (axis of symmetry parallel to the y-axis):

For a horizontal parabola (axis of symmetry parallel to the x-axis):

- (h, k) → coordinates of the vertex
- p → distance from the vertex to the focus
- The directrix is located the same distance p on the opposite side of the vertex
Practice Questions and Answers
Find the Vertex
Identify the coordinates of the vertex for the parabola defined by the following equation:

The equation is already provided in the vertex form:

By comparing the two equations, we can identify the values of h and k:


The vertex is located at the coordinates (h, k):

Determine the vertex of the horizontal parabola given by:

For horizontal parabolas, the vertex form is expressed as:

Extracting the values from the given equation:


The vertex is (h, k), which gives:

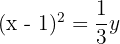
Convert to Standard Form
Convert the following quadratic equation into standard vertex form by completing the square:

First, group the x-terms and move the constant:

To complete the square, add the square of half the coefficient of x to both sides:
latex^{2} = 16[/latex]

Simplify and write as a perfect square:

Final standard form:

Convert the equation of the horizontal parabola into standard form:

First, factor out the coefficient of the y-squared term:

Complete the square inside the parentheses by adding 9, and balance the equation by subtracting 18:

Simplify the expression:

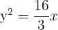
Find Focus and Directrix
Find the coordinates of the focus and the equation of the directrix for the following parabola:

The equation is in the standard form for a vertical parabola centered at the origin:

Solve for p:


For a vertical parabola, the focus is at (0, p) and the directrix is y = -p:


Determine the focus and directrix for the parabola:

This is a horizontal parabola with vertex (-3, 2) in the form:

Solve for p:


The focus is at (h + p, k) and the directrix is x = h - p:


Word Problems
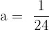
A satellite dish is in the shape of a parabola. It has a diameter of 120 cm and a depth of 20 cm. At what distance from the vertex should the receiver (focus) be placed?
Set the vertex at (0, 0). The dish passes through the point (60, 20). Use the equation:

Substitute the known point:


Solve for p:


The receiver should be placed 45 cm from the vertex.
An arch bridge is modeled by the equation where y is the height in metres and x is the horizontal distance from the centre:

Find the height of the arch at a distance of 4 metres from the centre.
Substitute x = 4 into the given parabolic equation:

Calculate the square:



The height of the arch at 4 metres from the centre is 8.4 metres.
Related Articles:
Continue your revision with the following articles:
Summarise with AI:








Good.