Chapters
The best Maths tutors available
Exercise 1
Calculate:
1 
2 
3 
4 
5 
6 
7 
8 
9 
10 
11 
12 
13 
14 
15 
16 
Exercise 2
Calculate:
1. 
2 
3 
4 
5 
6 
7 
8 
Exercise 3
Calculate:
1 
2 
3 
4 
5 
6 
7 
8 
Exercise 4
Calculate:
1 
2 
3 
4 
5 
6 
7 
8 
9 
10 
11 
12 
13 
Exercise 5
Calculate:
Exercise 6
Calculate:
Exercise 7
Calculate:
1 
2 
3 
4 
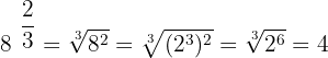
Solution of exercise 1
Calculate:
1 
2 
3 
4 
5 
6 
7 
8 
9 
10 
11 
12 
13 
14 
15 
16 
Solution of exercise 2
1. 
2 
3 
4 
5 
6 
7 
8 
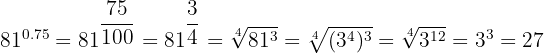
Solution of exercise 3
1 
2 
3 
4 
5 
6 
7 
8 
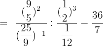
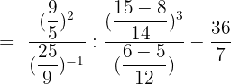
Solution of exercise 4
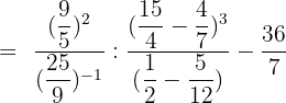
Calculate:
1 
2. 
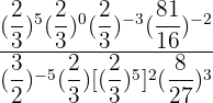
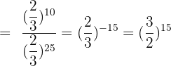
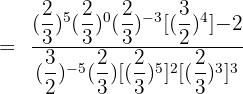
3 3 
4 
5 
6 
7 
8 
9 
10 
11 
12 12 
13 
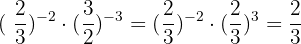
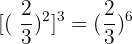
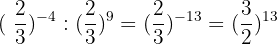
[(\frac{2}{3})^2]^{-2} : [ (\frac{3}{2})^3]^{-3} = (\frac{2}{3})^{-4} : (\frac{3}{2})^ {-9}
= 
Solution of exercise 5
Calculate:
Solution of exercise 6
Calculate:

Solution of exercise 7
Calculate:
1 
2 
3 
4 
Summarise with AI:








