Chapters
Exercise 1
Calculate:
1. 27 + 3 · 5 – 16 =
2. 27 + 3 – 45 : 5 + 16 =
3. (2 · 4 + 12) (6 − 4) =
4. 3 · 9 + (6 + 5 – 3) – 12 : 4 =
5. 2 + 5 · (2 · 3)³ =
6. 440 − [30 + 6 (19 − 12)] =
7. 2{4 [7 + 4 (5 · 3 − 9)] − 3 (40 − 8)} =
8. 7 · 3 + [6 + 2 · (2³ : 4 + 3 · 2) – 7 ·
] + 9 : 3 =
Exercise 2
Calculate:
1. (7 − 2 + 4) − (2 − 5) =
2. 1 − (5 − 3 + 2) − [5 − (6 − 3 + 1) − 2]=
3. −12 · 3 + 18 : (−12 : 6 + 8) =
4. 2 · [( −12 + 36) : 6 + (8 − 5) : (−3)] − 6 =
5. [(−2)5 · (−3)²] : (−2)² =
6. 6 + {4 − (17 − (4 · 4)] + 3} − 5 =
Exercise 3
Calculate:
1. (3 − 8) + [5 − (−2)] =
2. 5 − [6 − 2 − (1 − 8) − 3 + 6] + 5 =
3. 9 : [6 : (− 2)] =
4. [(−2)5 − (−3)³]² =
5. (5 + 3 · 2 : 6 − 4 ) · (4 : 2 − 3 + 6) : (7 − 8 : 2 − 2)² =
6. [(17 − 15)³ + (7 − 12)²] : [(6 − 7) · (12 − 23)] =
Exercise 4
Calculate:
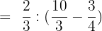
1. 
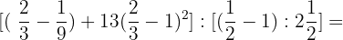
2. 
Exercise 5
Calculate:
Exercise 6
Calculate:
Exercise 7
Calculate:
Exercise 8
Calculate:
Solution of exercise 1
Calculate:
1. 27 + 3 · 5 – 16 =
= 27 + 15 − 16 = 26
2. 27 + 3 – 45 : 5 + 16=
27 + 3 – 9 + 16 = 37
3. (2 · 4 + 12) (6 − 4) =
= (8 + 12) (2) = 20 · 2 = 40
4. 3 · 9 + (6 + 5 – 3) – 12 : 4 =
= 27 + 8 – 3 = 32
5. 2 + 5 · (2 ·3)³ =
= 2 + 5 · (6)³ = 2 + 5 · 216 = 2 + 1080 = 1082
6. 440 − [30 + 6 (19 − 12)] =
= 440 − (30 + 6 · 7)] = 440 − (30 + 42) =
= 440 − (72) = 368
7. 2{4[7 + 4 (5 · 3 − 9)] − 3 (40 − 8)} =
= 2[4 (7 + 4 · 6) − 3 (32)] = 2[4 (7 + 24) − 3 (32)]=
2[4 (31) − 3 (32)]= 2 (124 − 96)= 2 (28)= 56
8. 7 · 3 + [6 + 2 · (2³ : 4 + 3 · 2) – 7 ·
] + 9 : 3 =
= 21 + [ 6 + 2 · (2+ 6) – 14] +3 =
= 21 + ( 6 + 2 · 8 – 14) +3 =
= 21 + ( 6 + 16 – 14) + 3 =
= 21 + 8 + 3 = 32
Solution of exercise 2
Calculate:
1. (7 − 2 + 4) − (2 − 5) = 9 − (−3) = 9 + 3 =12
2. 1 − (5 − 3 + 2) − [5 − (6 − 3 + 1) − 2] =
= 1 − (4) − [5 − (4) − 2] =
= 1 − (4) − (5 − 4 − 2)=
= 1 − (4) − (−1) =
= 1 − 4 + 1 = −2
3. −12 · 3 + 18 : (−12 : 6 + 8) =
= −12 · 3 + 18 : (−12 : 6 + 8) =
− 12 · 3 + 18 : (−2 + 8) =
= −12 · 3 + 18 : 6 =
= −36 + 3 = −33
4. 2 · [( −12 + 36) : 6 + (8 − 5) : (−3)] − 6 =
= 2 · [24 : 6 +3 : (−3)] − 6 =
= 2 · [ 4 + (−1)] − 6 =
2 · 3 − 6 = 6 − 6 = 0
5. [(−2)5 · (−3)²] : (−2)² =
(−32 · 9) : 4 = −288 : 4 = −72
6. 6 + {4 − (17 − (4 · 4)] + 3} − 5 =
= 6 + {4 − [(17 − (4 · 4)] + 3} − 5 =
6 + [4 − (17 − 16) + 3] − 5 =
= 6 + (4 − 1 + 3) − 5 =
6 + 6 − 5 = 7
Solution of exercise 3
Calculate:
1. (3 − 8) + [5 − (−2)] = −5 + (5 + 2) = −5 + 7= 2
2. 5 − [6 − 2 − (1 − 8) − 3 + 6] + 5 =
= 5 − [6 − 2 − (−7) − 3 + 6] + 5 =
= 5 − [6 − 2 + 7 − 3 + 6] + 5 =
= 5 − 14 + 5 = −4
3. 9 : [6 : (−2)] = 9 : (−3) = −3
4. [(−2)5 − (−3)³]² =
= [− 32 − (−27)] = (−32 + 27)² =
= (−5)² = 25
5. (5 + 3 · 2 : 6 − 4 ) · (4 : 2 − 3 + 6) : (7 − 8 : 2 − 2)² =
= (5 + 6 : 6 − 4 ) · (4 : 2 − 3 + 6) : (7 − 8 : 2 − 2)² =
= (5 + 1 − 4 ) · (2 − 3 + 6) : (7 − 4 − 2)² =
= 2 · 5 : 1² =
= 2 · 5 : 1 = 10 : 1 = 10
6. [(17 − 15)³ + (7 − 12)²] : [(6 − 7) · (12 − 23)] =
= [(2)³ + (−5)²] : [(−1) · (−11)] =
= (8 + 25) : [(−1) · (−11)] =
= (8 + 25) : 11 =
= 33: 11 = 3
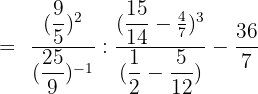
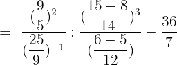
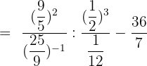
Solution of exercise 4
Solve:
1. 
2. 
Solution of exercise 5
Solve:
Solution of exercise 6
Solve:
Solution of exercise 7
Solve:
Solution of exercise 8
Solve:








