Chapters
- Exercise 1
- Exercise 2
- Exercise 3
- Exercise 4
- Exercise 5
- Exercise 6
- Exercise 7
- Exercise 8
- Exercise 9
- Exercise 10
- Exercise 11
- Exercise 12
- Solution of exercise 1
- Solution of exercise 2
- Solution of exercise 3
- Solution of exercise 4
- Solution of exercise 5
- Solution of exercise 6
- Solution of exercise 7
- Solution of exercise 8
- Solution of exercise 9
- Solution of exercise 10
- Solution of exercise 11
- Solution of exercise 12
Exercise 1
Associate the following fractions with the corresponding amount of minutes in an hour:
,
,
,
,
, 
Exercise 2
Find the pairs of equivalent fractions and place them in pairs:
,
,
,
, 
,
,
,
, 
Exercise 3
Write the reciprocals of the following fractions:
,
,
, 5,
, 
Exercise 4
Write the sign > or <, to create a correct statement.
,
,
, 
Exercise 5
Write the sign > or <, to create a correct statement.
,
,
, 
Exercise 6
Order the following fractions from smallest to largest:
,
,
, 
Exercise 7
Classify the following fractions as either proper or improper fraction:
,
,
,
,
,
,
, 
Exercise 8
Solve:
Exercise 9
Solve using two different methods:
Exercise 10
Solve:
1. 
2. 
3. 
4. 
Exercise 11
Solve:
Exercise 12
Perform the divisions:
Solution of exercise 1
Associate the following fractions with the corresponding amount of minutes in an hour:
minutes
minutes
minutes
minutes
minutes
minutes
Solution of exercise 2
Find the pairs of equivalent fractions and place them in pairs:
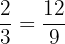
,
,
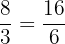
,
, 
,
,
,
, 





Solution of exercise 3
Write the reciprocals of the following fractions:
,
,
, 5,
, 
,
,
,
,
, 8
Solution of exercise 4
Write the sign > or <, to create a correct statement.
,
,
, 
,
,
, 
Solution of exercise 5
Write the sign > or <, to create a correct statement.
,
,
, 
,
,
, 
Solution of exercise 6
Order the following fractions from smallest to largest:
,
,
, 
We will make the denominators same by multiplying every fraction by a constant.
,
,
, 
Solution of exercise 7
Classify the following fractions as either proper or improper:
,
,
,
,
,
,
, 
Proper:
,
,
,
, 
Improper:
,
, 
Solution of exercise 8
Solve:
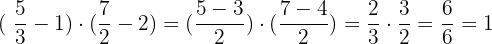
Solution of exercise 9
Solve using two different methods:
Solution of exercise 10
Solve:
Solution of exercise 11
Solve:
Solution of exercise 12
Perform the divisions:
1 
2 
3 
Summarise with AI:








