Chapters
Addition of Fractions with Same Denominators
Adding two fractions that have the same denominator is straightforward. We just add the numerators of each fraction together and keep the same denominator.
Example
Add
to 

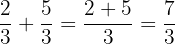
Addition of Fractions with Unlike Denominators
Say we want to add
to 

We can’t just add the numerators and denominators to find the answer, because the denominators of both fractions are not equal.
The trick is to find a common (same) denominator for both fractions that will allow us to properly add them.
What number can we choose that both
and
will divide into evenly?
Our best choice would be
because we always want to choose the smallest such number.
We could choose any number we want that is divisible by both
and
, such as
, and it will work. It just saves us time if we choose the smallest one, as we will see shortly.
already has a
in the denominator, so our job is to make
into an equivalent fraction that has a
in the denominator.
The equivalent fraction to
with a
in the denominator is
.
Now, we are in a position to add them together

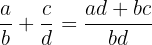
Common Denominators and Multiplication by 1=a/a
The addition of 2 fractions involves the processes of finding a common denominator, preferably the Least Common Denominator, of both fractions and equivalent fraction conversion in order for us to properly add them.
Finding the common denominator in the last example was relatively easy because
is a multiple of
.
Here we will outline the actual technique for finding a common denominator.
Example
Add
and 
To perform this problem we must multiply each fraction by an equivalent form of the number
that will make each fraction have a common denominator.
What is the first number that both denominators
and
divide into evenly?
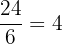
In this case, it is just 
How do we make each fraction into an equivalent form that has a denominator of
?
We multiply each fraction by
so to speak

and

Notice that
and
.
Now we've put ourselves in a position to add these fractions

We multiplied both fractions by a form of
in order to find a common denominator:
for the first and
for the second.
Example
Add

Find the first number that both
and
divide into evenly:
and 
Multiply each fraction by an equivalent form of
that makes its denominator
:
for
and
for 

Example
Add


Addition of 3 or more Fractions
The addition of 3 or more fractions is performed the same way but we now have 3 or more denominators to account for in finding a common denominator.
Example
Add

Find a common denominator for
and
. It is
.



Quick and Easy Formula

Find more Maths tutors near me here on Superprof.








