Chapters
In this article, we will learn what are rational exponents, how to convert rational exponents into the radical form, and how to convert radicals into rational exponents. We will also use the concept of rational exponents to simplify complex radicals. But before proceeding to the rational exponents, first, let us see what are the exponents.
Definition of an Exponent
"An exponent is a mathematical type of shorthand that we use when we want to multiply the number any amount of times by itself"
Exponents come in the form
where
is a variable of our choice known as the base. It can be any value we choose or that is given, Rational number, Integer, Natural number, even decimals, and fractions.
The
is also a variable number, called the exponent, and it tells us how many times we multiply the number
by itself.
We can either have positive or negative exponents of the bases. The common rules of expressions with the negative exponents are given below:
- Remember that any negative number when multiplied by itself becomes a positive number, but if we multiply it by itself again, then we get another negative number
- Negative numbers raised to an odd number exponent will always remain negative
-
Negative numbers raised to an even number exponent will always be positive
Rational Exponents
"The exponents of the expressions that are rational numbers are known as rational exponents"
Rational exponents are also called fractional exponents. The standard form of an expression with a rational exponent is given below:
, where 
Here, x = base of the exponent
is the rational exponent of the base x.
While converting fractional exponents into the radical form or vice versa, you should be aware of the rule that if you have a negative fractional exponent in the denominator, then we can transfer it to the numerator given the fact that it will become positive. Similarly, if we have a negative fractional exponent in the numerator, then to make it positive, we can transfer it to the denominator.
For example,
can be written as
. Similarly,
can be written as
.
How to Convert Radicals to Expressions with Rational Exponents?
We can convert radicals to expressions with rational exponents. Radicals and rational exponents are different ways of expressing the same thing. The most common types of radicals are square roots and cube roots.
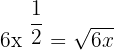
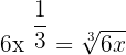
For instance,
can be written as
.
Similarly,
can be written as
.
Let us solve some of the examples in which we will convert radicals to expressions with rational exponents.
Examples
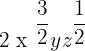
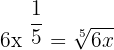
1. Convert
to an expression with a rational exponent.
We can write
as exponent
. Therefore,
will be written as:


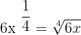
2. Convert
to an expression with rational exponent.
We can write
as exponent
. Therefore,
will be written as:

3. Convert
into an expression with a rational exponent.
You can see that we have a radical expression in the denominator. The base 2x in the denominator has an exponent of
.
= 
= 
When we will take the expression 2x in the numerator, we will change the sign of its exponent from positive to negative like this:

4. Convert
into an expression with a rational exponent.
You can see that we have a radical expression in the denominator. The base 81 in the denominator has an exponent of
.
= 
= 
When we will take the expression 81 in the numerator, we will change the sign of its exponent from positive to negative like this:
= 
5. Convert
into an expression with a rational exponent.
You can see that we have a radical expression in the denominator. The base 5 in the denominator has an exponent
. It shows that in addition to a radical, this base is also raised to a power 4.
= 
= 
When we will take the base 5 in the numerator, we will change the sign of its exponent from positive to negative like this:
= 
How to Convert Expressions With Rational Exponents to Radicals?
We can convert also expressions with rational exponents to radicals. Some common expressions with radical exponents and their corresponding radicals are given below:
Let us now proceed to some of the examples in which we will convert expressions with rational expressions to radicals.
Examples
1. Convert
into a radical.
The exponent
can be written as
.
= 
= 
is equal to 9.
2. Convert
into a radical expression.
The exponent
can be written as
.
= 
= 
is equal to 2 and the square of 2 is equal to 4. Hence,
.
3. Convert
into a radical form.
In the above expression, only the variable has an exponent. The constant is multiplied with the variable with a rational exponent.
is equal to
.
= 
= 
4. Convert
into a radical form.
In the above expression, the coefficient 49x is written inside the parenthesis. It means that the exponent
applies to both the constant and the variable.
= 
= 
is equal to 7, therefore we can write the above radical expression as:

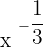
5. Convert
into a radical form.
In the above expression, the variable x has a negative fractional exponent. Therefore, we can write the above expression like this:
= 
= 
6. Convert
into a radical form.
In the above expression, the fractional exponent
applies to the coefficient 55x because it is in parenthesis. In other words, we can say that the fractional exponent applies to both the constant 55 and the variable x.
Since the fractional exponent has a negative sign, therefore we will convert it into the radical form by taking its reciprocal like this:

Using Rational Exponents to Simplify Radicals
We can use radical exponents to simplify complex radicals. Let us solve the following examples.
Example 1
Simplify 
Solution
First, we will convert the above radical into an expression with rational exponents like this:
= 
= 
= 
= 
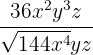
Example 2
Simplify 
Solution
First, we will disintegrate the factors in the denominator like this:
= 
= 
is equal to 12 and
is equal to
.
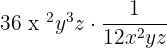
= 
We will divide the coefficient
in the numerator by the coefficient
in the denominator like this:
= 
Using the rule of exponents which say that if any exponent is in the denominator, then we can take it in the numerator by inverting its sign:
= 
After simplifying the above expression, we will get the following result:
= 
Summarise with AI:








