Chapters
- Definition of a Fraction
- Division: Fractions as Quotients
- Rational Numbers: Ratio of Integers
- Negative Fractions
- Fractional Units
- Fractional Values
- Fractions of a Number
- Fractions: Ratios and Proportions
- Proper Fractions
- Improper Fractions
- Mixed Numbers
- Decimal Fractions
- Equivalent Fractions
- Simplifying Fractions
- Irreducible Fractions
Definition of a Fraction
Fractions are numbers that look like
where
because division by
is meaningless.
is the top of the fraction and is called the numerator.
is the bottom of the fraction and is called the denominator.
Examples
All of these numbers are fractions

Division: Fractions as Quotients
A fraction
is also known as a quotient of
to
. A quotient of
to
tells us to split the number
into
parts and it is equivalent to division.
We may also say that
is broken into
parts or that we divide the number
by
.
Example
Split
into
parts or perform the division of 

split into
parts is equivalent to saying
or
where 

Rational Numbers: Ratio of Integers
Many fractions are also Rational numbers. The Rational Numbers
are a special case of fractions where
is any integer and
is any integer besides
. The Integers
are the positive and negative whole numbers along with
, like on a number line.

The Rational in Rational number means that there is a ratio between the two numbers
and
. The big
stands for quotient. The big
for the Integers is from the German word for numbers 'zahlen'.
There are many fractions that are not rational, not the ratio of 2 integers. These numbers are called irrational numbers and have a decimal value that is never-ending (infinite) and non-repeating.
We will be sticking to fractions that are Rational numbers throughout these lessons.
Negative Fractions
If a fraction is negative, we put the negative sign in the numerator or out in front of the fraction itself

If the negative sign happens to be in the denominator, don't write
.
Move the negative sign up top or out front

Fractional Units
A fractional unit is 'one part
numerator' of the 'whole'.
The 'whole' is the number that we 'split the number
into', which is the denominator.
Example

The green shaded box represents 'one part' of the entire thing, which is 'split' into
parts.
The 'whole' thing would be
.
Example

The green shaded box represents
unit out of
total units that make up the 'whole' thing.
There are
of these fractional units
that make up the object.
Fractional Values
Example
The green boxes represent
of the whole amount or
parts out of
.

Example
The green boxes represent
of the whole amount or
parts out of
.

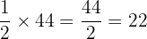
Fractions of a Number
We can take fractional amounts of numbers other than
. We can look at it as a multiplication exercise, a division exercise or a mixture of both.
Example
What is
of
?
Multiplication

Division

Example
What is
of
?

or

Fractions: Ratios and Proportions
When comparing different amounts or types of the same thing, you can form fractions from the ratios or proportions.
Example
Suppose we have
crayons:
blue
red
green
yellow.
The
crayons can be placed in a
ratio of blue : red : green : yellow.
We can form 4 fractions: 1 for the amount that each color of crayon is of the whole amount of crayons 
are blue
are red
are green
are yellow
Proper Fractions
Proper fractions have the values of their numerators less than the value of their denominators.
They have a value greater than
and less than
if positive

They have a value less than
and greater than
if negative

Improper Fractions
Improper fractions are fractions that have their numerators larger than their denominators, which means they have a value greater than 1.
Examples

Mixed Numbers
A mixed number is the union of an integer and a fractional amount less than
.
They are equivalent to their improper fractional form.
Example
Express
as a mixed number.
Divide the numerator
by the denominator
to obtain the highest whole number amount that will divide into it evenly.
Here it is
because
.
The remainder
is then the numerator of the fraction less than
that we attach next to the whole number,
.

Decimal Fractions
Decimal fractions have a power of
in the denominator.
Example
Equivalent Fractions
2 fractions
and
are equivalent if and only if the product of the extremes equals the product of the means

and
are known as the extremes, while
and
are known as the means
Example
Determine whether
is equivalent to 
and 
and 
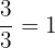
Simplifying Fractions
Most often we want fractions to be in simplest form. This means that the fraction is in lowest terms.
Lowest terms means that the numerator and denominator have no common factors or are relatively prime.
Example
and
are not in lowest terms but are all equal to
.
Both the numerators and denominators of each fraction have a common factor.
In
, both the
and the
have
as a common factor.
In
, both the
and the
have
as a common factor.
In
, both the
and the
have
as a common factor.
The simplified form of each of these fractions is
.
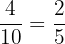
Example
Is
in lowest terms?
In
, both
and
have the common factor of at least
.
Actually, they both have the factor
in common

We first factored out a
to make
and then factored out another
to make
and
.
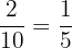
Example
Is
in lowest terms?

We took the Prime Factorization of both
and
and cancelled out the common factors of
and
.
Irreducible Fractions
Irreducible fractions are those that cannot be simplified any further (the numerator and denominator are in lowest terms). The numerator and denominator do not have any common factors and are called co-prime.
Examples
All of these fractions are irreducible or in lowest terms

Summarise with AI:








