Chapters
- Exercise 1
- Exercise 2
- Exercise 3
- Exercise 4
- Exercise 5
- Exercise 6
- Exercise 7
- Exercise 8
- Exercise 9
- Exercise 10
- Exercise 11
- Exercise 12
- Solution of exercise 1
- Solution of exercise 2
- Solution of exercise 3
- Solution of exercise 4
- Solution of exercise 5
- Solution of exercise 6
- Solution of exercise 7
- Solution of exercise 8
- Solution of exercise 9
- Solution of exercise 10
- Solution of exercise 11
- Solution of exercise 12
The best Maths tutors available
Exercise 1
Calculate:
Exercise 2
Convert the following numbers to a fraction:
,

Exercise 3
Convert the following numbers to a fraction:
,
,
,
,
, 
Exercise 4
Convert to fraction form:
1 
2 
3. 
Exercise 5
Solve:
1 
2 
Exercise 6
Solve:
Exercise 7
Simplify the following:
1 
2 
3 
4 
5 
6 
7 
8 
9 
10 
11 
12 
Exercise 8
Solve:
Exercise 9
Solve:
Exercise 10
Solve:
Exercise 11
Solve:
Exercise 12
Solve
Solution of exercise 1
Calculate:
Solution of exercise 2
Convert the following numbers to a fraction:
,
, 
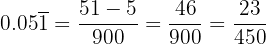
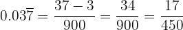
Solution of exercise 3
Convert the following numbers to a fraction:
,
,
,
,
, 

Solution of exercise 4
Convert to fraction form:
1. 
2. 
3. 
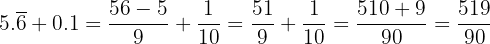
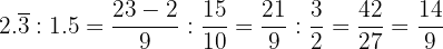
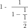
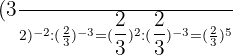
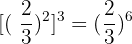
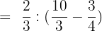
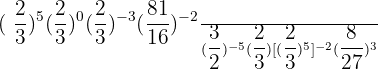
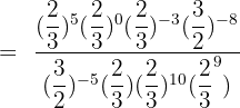
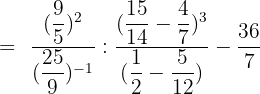
Solution of exercise 5
Solve:
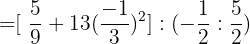
1. 
2. 
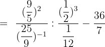
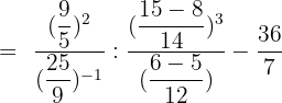
= 
= 
= 
= 
= 
= 
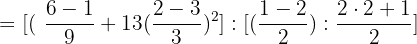
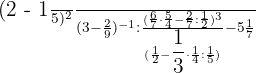
Solution of exercise 6
Solve:
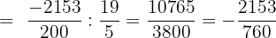
= 
= 
= 
= 
= 
Solution of exercise 7
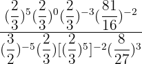
Simplify the following:
1. 
2. 
3. 









Solution of exercise 8
Solve:
Solution of exercise 9
Solve:
Solution of exercise 10
Solve:
Solution of exercise 11
Solve:
Solution of exercise 12
Solve:








