Chapters
- Problem 1
- Problem 2
- Problem 3
- Problem 4
- Problem 5
- Problem 6
- Problem 7
- Problem 8
- Problem 9
- Problem 10
- Problem 11
- Problem 12
- Problem 13
- Problem 14
- Problem 15
- Problem 16
- Problem 17
- Problem 1 Solution
- Problem 2 Solution
- Problem 3 Solution
- Problem 4 Solution
- Problem 5 Solution
- Problem 6 Solution
- Problem 7 Solution
- Problem 8 Solution
- Problem 9 Solution
- Problem 10 Solution
- Problem 11 Solution
- Problem 12 Solution
- Problem 13 Solution
- Problem 14 Solution
- Problem 15 Solution
- Problem 16 Solution
- Problem 17 Solution
Problem 1
Write
as an addition of a series of fractional powers of
and then as a series of simplified fractions.
Problem 2
Find the sum of

Problem 3
Try to find the product of

without performing the actual multiplication.
Problem 4
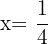
Solve the equation

Problem 5
Solve the equation

Problem 6
Find a Rational number in between
a.
and 
b.
and 
c.
and 
Problem 7
Divide
into
's and give each fractional value in both improper and mixed fractional form.
Problem 8
Divide
into
's and give each fractional value in both improper and mixed fractional form.
Problem 9
Divide the number line interval of
to
into 4 equal spaces and give the values of the endpoints of each space.
Problem 10
Divide the number line interval of
to
into 10 equal spaces and give the values of the endpoints of each space.
Problem 11
Name at least 4 Rational numbers that are between
a.
and 
b.
and 
c.
and 
Problem 12
Solve:

Problem 13
How many
's are in
a. 
b. 
c. 
d. 
Problem 14
What is the fractional distance between these sets of points
on the number line?
Interval 1:
and 
Interval 2:
and 
Interval 3:
and 
Interval 4:
and 
Problem 15
What is the midpoint of each of these intervals on the number line?
a.
and 
b.
and 
c.
and 
Problem 16
How many Rational numbers are there between
?
Problem 17
What happens to the denominator and overall value of the Rational number
when
a.
is less than
but greater than
and
is approaching 

b.
is greater than
but less than
and it is approaching
(approaching
from the negative side)

c.
is less than
and approaches 
and 
Problem 1 Solution
Write
as an addition of a series of fractional powers of
and then again as a series of simplified fractions.
Powers of
: 
Simplified Fractions: 
Problem 2 Solution
Find the sum of


Problem 3 Solution
Try to find the product of

without performing the actual multiplication.

The denominator of each fraction cancels with the numerator of the fraction following it.
The denominator
in
cancels the numerator
in
etc.
The only 2 numbers that don't cancel are the numerator
in
and the denominator
in
leaving 
We can also rearrange the numerators to make 4 of the fractions equivalent to 

Problem 4 Solution
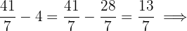
Solve the equation


Problem 5 Solution
Solve the equation




Problem 6 Solution
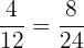
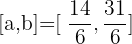
Find a Rational number in between
a.
and 
and 
There is no fraction with a denominator of
between
and
.
Converting denominators gives
and 
There is a fraction in between
and
,
namely 

This is just one of infinitely many fractions between
and
.
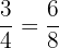
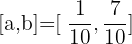
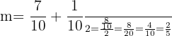
b.
and 
and 
and 
There is a fraction between
and
,
namely
.
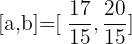
c.
and 
and 


Problem 7 Solution
Divide
into
's and give each fractional value in improper and mixed fraction form.
Interval
into 
1. 
2. 
3. 
4. 
5. 
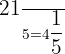
Problem 8 Solution
Divide
into
and give each fractional value in both improper and mixed form.
Interval
into 
1. 
2. 
3. 
4. 
5. 
6. 
7. 
8. 
9. 
10. 
Problem 9 Solution
Divide the number line interval of
to
into
and give each value.
Number Line Distance: 
Spaces: 
Interval 1: 
Interval 2: 
Interval 3: 
Interval 4: 
Problem 10 Solution
Divide the number line interval of
to
into
and give each value.
Number Line Distance: 
Spaces: 
Number Line Start and Finish:
and 
Interval 1: 
Interval 2: 
Interval 3: 
Interval 4: 
Interval 5: 
Interval 6: 
Interval 7: 
Interval 8: 
Interval 9: 
Interval 10: 
Problem 11 Solution
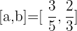
Name at least 4 Rational numbers that are between
a.
and 
Here are quite a few Rational numbers between
and 

b.
and 






c.
and 


Problem 12 Solution
Solve:




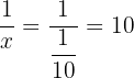
Problem 13 Solution
How many
's are in
a. 

b. 


c. 

d. 

Problem 14 Solution
What is the fractional distance
between these sets of points
on the number line?
Interval 1:
and 



Interval 2:
and 
and 



Interval 3:
and 




Interval 4:
and 
and 



Problem 15 Solution
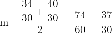
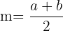
What is the midpoint
of each of these intervals on the number line?
a. 


b. 

and 

c. 

and 

Problem 16 Solution
How many Rational numbers
are there between
?
There are an infinite amount of Rational numbers in between any 2 other Rational numbers.
Problem 17 Solution
What happens to the denominator and overall value of the Rational number
when
a.
is less than
but greater than
and
is approaching 
with
or 
The Rational number
gets bigger and bigger as
.
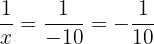
and
gives 
and
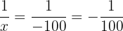
gives 
and
gives 
and
gives 
b.
is greater than
but less than
and
is approaching
(approaches
from the negative side)
with
or 
The Rational number
gets bigger and bigger negatively as
.
and
gives 
and
gives 
and
gives 
and
gives 
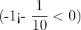
c.
is less than
and approaches 
and 
The Rational number
gets smaller and smaller negatively as
.
and
gives 
and
gives 
and
gives 
and
gives 
Summarise with AI:








