Chapters
Calculate the definite integrals of the following:
The best Maths tutors available
Exercise 1
Exercise 2
Exercise 3
Exercise 4
Exercise 5
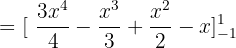
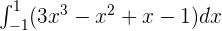
Exercise 6
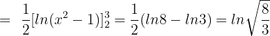
Exercise 7
Solution of exercise 1
Solution of exercise 2
Solution of exercise 3
Solution of exercise 4
Solution of exercise 5
Solution of exercise 6
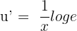
, then 
v' = 1, then v = x
= 
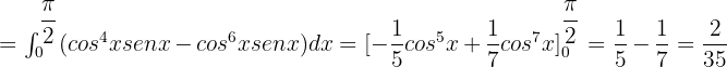
Solution of exercise 7
Calculate the definite integral by change of variable.
Find the new limits of integration.
,
, 
,
, 
Integrate by parts.
, then 
, then 
Also, this can be done without transforming the integration limits and returning to the initial variable.









Hi,
what is the integral of ;
(k ^ -u x e ^ u)
Thanks,