Chapters
In this article, we will discuss integration involving exponential functions. But before proceeding to elaborate on how to find the integrals of exponential functions, first, let us see what is meant by integration.
Integration is the reverse process of differentiation and it is a way of adding pieces to a whole
Integration is an important concept in calculus. We use the integration to calculate area, volume, and central points.
Integration Rules
Like differentiation, there are some rules which are used to solve the problems related to integration. These rules are explained below:
- Integration of a Constant
The integral of
is equal to ax + C.
- Integration Power Rule
dx is equal to 
- Integration Sum Rule
is equal to
a dx +
b dx
- Integration Difference Rule
is equal to
a dx -
b dx
- Multiplication by Constant
is equal to 
Now, we will see what are exponential functions.
What are Exponential Functions?
Exponential functions are the functions in which the independent variable, x, is the power or exponent of the base. The general form of exponential functions is given below:

Here x is the independent variable, y is the dependent variable and a is the base of the function.
Exponential and logarithmic functions are employed for modeling the growth of the population, cells in living beings, and profits. These functions are also used to model radioactive decay, consumption of resources, and depreciation over time.
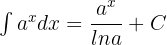
Formulas for Finding Integrals of Exponential Function
Following formulas or rules are used to calculate the integrals of exponential functions:


Now, we will solve some examples in which we will find the integrals of exponential functions.
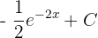
Example 1
Find the integral of the following exponential function:

Solution
We will use the substitution method to solve this example. Suppose -2x = u, then
. This means that
. Divide both sides of the equation by -2, so that you can have
. Then,
= 
Remember that according to the formula
.
= 
Substitute u = -2x again in the above equation to get the final answer:
= 
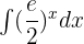
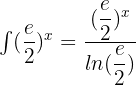
Example 2
Find the integral of the following exponential function:

Solution
We will use substitution here to solve this example. Suppose
. Then,
. This means that
.
= 
= 
Take the constant before the integral sign:
= 
= 
Substitute
again in the above equation to get the following final answer:
= 
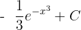
Example 3
Find the antiderivative of the following exponential function:

Solution
Suppose
. This means that
and
. Substitute these values in the equation below:
= 
Apply the power rule
to find the antiderivative of the above function:
= 
= 
Substitute
again in the above equation to get:
= 
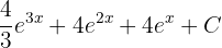
Example 4
Find the integral of the following exponential function:

Solution
Expand the function to get the following form:
= 
Use the sum rule to write the above function like this:
= 
We will find integral of each term separately like this:



Hence, the final answer is:
= 
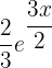
Example 5
Find the integral of the following exponential function:

Solution
Expand the function to get the following form:
= 
Use the sum rule to write the above function like this:
= 
We will find integral of each term separately like this:


Hence, the final answer is:
= 
Example 6
Find the integral of the following exponential function:

Solution
We will use the substitution method to solve this example. Suppose x = u, then
. This means that
. Move the fraction to the left side of the integral sign like this:
= 
Remember that according to the formula
.
= 
Substitute u = x again in the above equation to get the final answer:
= 
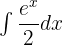
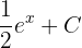
Example 7
Find the integral of the following exponential function:

Solution
Write the above function in radical form like this:
= 
= 
Now, use the substitution method to solve the above equation. Suppose
. This means that
. Then,
and 
= 
Move the constant before the integral sign:
= 
= 
Substitute
in the above equation again to get the following answer:
= 
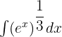
Example 8
Find the integral of the following exponential function:

Solution
Write the above function in radical form like this:
= 
= 
Now, use the substitution method to solve the above equation. Suppose
. This means that
. Then,
and 
= 
Move the constant before the integral sign:
= 
= 
Substitute
in the above equation again to get the following answer:
= 
Example 9
Find the integral of the following exponential function:

Solution
Take the fraction to the left side of the integral sign like this:
= 
is equal to
:
= 
Now, we will use substitution to solve the above equation. Suppose u = -x, then it means that
and du = -dx. Multiply both sides by -1 to get dx = -du.
= 
= 
Substitute u = -x again in the above equation to get the final answer:
= 
Example 10
Find the integral of the following exponential function:

Use the exponent rule to write the above function like this:
= 
Remember that
. Hence,
.
Simplify the above equation to get the following answer:
= 









Hi,
what is the integral of ;
(k ^ -u x e ^ u)
Thanks,