When a curve is rotated about a straight line, it sweeps out a three-dimensional solid. This article explains how to use definite integration to calculate the exact volume of such a solid, using the disk method and the washer method — both of which appear in the A-Level Year 2 (A2) specification across all major boards.
AQA A-Level Maths (7357) — Section 7.6: Volumes of revolution about the x-axis and y-axis.
Edexcel A-Level Maths (9MA0) — Topic 11, Further Integration: volumes of revolution.
OCR A-Level Maths (H240) — Component 02, Section 6.2: volumes of revolution.
All three boards assess this topic on Paper 1 (non-calculator) and Paper 2 (calculator). Exact answers involving
are nearly always required.
Learning Objectives
By the end of this article, you should be able to:
- State the disk-method formula and explain where it comes from geometrically (AO1).
- Apply the disk method to find the volume of a solid formed by rotating a region about the x-axis or y-axis (AO2).
- State the washer-method formula and identify when it is needed instead of the disk method (AO1, AO2).
- Set up and evaluate the washer-method integral correctly, including finding the limits of integration by solving simultaneously (AO2).
- Give answers in exact form involving
(AO2).
Theory Recap
The key idea is to imagine slicing the solid of revolution into very thin circular cross-sections perpendicular to the axis of rotation, each of thickness
. Each slice is approximately a disk (or washer) whose volume can be expressed in terms of
. Summing all these slices and taking the limit as
gives a definite integral.
This is an application of the general principle that
, which you should be able to derive from first principles in an exam if required.
The Disk Method
Use the disk method when the region being rotated lies directly against the axis of rotation (there is no "gap" between the curve and the axis). Each cross-sectional slice is a full disk of radius
, with area
.
Rotation about the x-axis: If the region is bounded by
and the x-axis between
and
, the volume is
Rotation about the y-axis: If the region is bounded by
and the y-axis between
and
, the volume is
The
factor comes from the area of a circular cross-section: area
, and here
(the height of the curve above the axis at position
).
The Washer Method
Use the washer method when the region being rotated has a gap between the curve and the axis — that is, when the solid has a hole through its centre. This happens whenever the region is bounded by two curves
(outer boundary) and
(inner boundary), both above the x-axis with
throughout.
Each cross-section is now an annulus (a disk with a smaller disk removed), with area
, where
is the outer radius and
is the inner radius.
(outer) and
(inner), with
on
, the volume is
(outer) and
(inner), with
on
, the volume is
Common Mistakes To Be Aware of
. This is wrong. The correct expression squares each function separately:
. The difference of squares is not the same as the square of the difference. This mistake is so common it appears in AQA and Edexcel examiner reports as the single most frequent error on volume-of-revolution questions.
: The
factor is part of the formula and must be included in the final answer. Many students integrate correctly and then omit it. If the question asks for an exact answer, your answer must be a multiple of
.Worked Examples — Disk Method
In the mark scheme annotations below: M1 = method mark (awarded for a correct method, even with an arithmetic slip); A1 = accuracy mark (awarded only if working is correct to that point).
Find the exact volume of the solid formed when the region bounded by
,
,
, and the
-axis is rotated through
radians about the
-axis.
The region lies between the curve
and the
-axis, with no gap between the two, so the disk method applies.
Here
,
,
. Setting up the integral: (M1 — correct formula stated or implied)

Integrating: (M1 — correct integration of
)

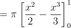
Evaluating at the limits: (A1 — correct evaluation)

(A1 — exact answer in terms of
)
Note: The answer
is in the correct exact form. A decimal approximation of
would not earn the final A1 if the question specifies "exact".
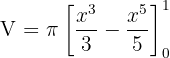
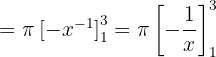
Find the exact volume of the solid formed when the region bounded by
,
,
, and the
-axis is rotated through
radians about the
-axis.
The region lies between
and the
-axis with no gap, so the disk method applies. Here
,
,
.
Note:
. Setting up: (M1 — correct formula with squaring)

Integrating: (M1 — correct integration)

At
: 
At
:
(A1 — correct evaluation of both limits)

(A1 — exact final answer)
Note: Although the intermediate bracket values are negative, this is expected because the antiderivative
is negative on [3, 4]. The difference of the two values is positive, giving a positive volume — as it must be. If you get a negative volume, check whether you have subtracted the limits in the right order.
Find the exact volume of the solid formed when the region bounded by
and
is rotated through
radians about the
-axis.
Step 1: Find the limits of integration by equating the two curves. (M1 — method for finding intersection)



So
or
. The limits are
and
. (A1 — both limits correct)
Step 2: Identify the outer and inner functions. On
,
(you can verify: at
,
). So the outer radius is
and the inner radius is
.
Step 3: Apply the washer formula. (M1 — correct washer formula with
)

Step 4: Integrate. (M1 — correct integration of each term)

Step 5: Evaluate.
(A1 — exact answer)

Alternative method accepted: the integral can also be written as
reached by factorising
— same result.
Volume Function Practice Exercises for A Level Maths
Find the exact volume of the solid formed when the region bounded by
,
,
, and the
-axis is rotated through
radians about the
-axis.
The disk method applies. Here
,
,
.

(M1)
(M1)
(A1)

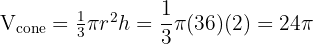
This solid is a cone with base radius
and height
. You can verify:
. The integration and geometric formula agree — a useful sense-check.
Find the exact volume of the solid formed when the region bounded by
,
,
, and the
-axis is rotated through
radians about the
-axis.
The disk method applies.
, so
.
(M1)
(M1)
(A1)

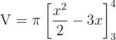
Find the exact volume of the solid formed when the region bounded by
,
,
, and the
-axis is rotated through
radians about the
-axis.
The disk method applies.
, so
.
(M1)
(M1)
(A1)

The region bounded by
,
,
, and the
-axis is rotated through
radians about the
-axis. Find the exact volume of the solid produced.
The disk method applies.
, so
.
(M1)
(M1)
(A1)

Note:
is undefined at
, but the limits here are
to
, so there is no domain issue. Always check that the function is defined on the entire interval of integration.
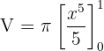
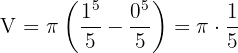
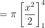
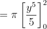
Find the exact volume of the solid formed when the region bounded by
,
, and
is rotated through
radians about the
-axis.
Because the region is rotated about the y-axis, we use
with
.

(M1)
(M1)
(A1)

The region enclosed between
and
is rotated through
radians about the
-axis. Find the exact volume of the solid produced.
Step 1: Find the limits. Set
: squaring,
, so
, giving
or
. (M1)
Step 2: Identify outer and inner functions. On
: at
,
and
, so
. Outer:
; inner:
. (A1)
Step 3: Apply the washer formula. (M1)

(M1)
(A1)

The region bounded by
and
on the interval
is rotated through
radians about the
-axis. Find the exact volume of the solid produced.
Step 1: Identify the outer and inner functions. On
: at
,
. So
on this interval. Outer:
; inner:
. (M1)
Step 2: Apply the washer formula.
(M1)
Step 3: Use the double-angle identity. Recall
. (M1 — correct use of identity)

(A1)
Step 4: Evaluate.
At
:
. At
:
. (A1)
(A1)

Note: This question combines washer method with the double-angle identity for
. Both are core A2 skills and appear together in synoptic questions. The identity
must be memorised — it is not given on the formula sheet.
Further Maths Extension: The Cylindrical Shell Method
The cylindrical shell method is an alternative technique for finding volumes of revolution. It is not assessed in standard A-Level Maths (AQA 7357, Edexcel 9MA0, OCR H240) but does appear in some A-Level Further Mathematics specifications (AQA Further Pure 2) and is routinely covered in first-year university calculus courses.
The method is used when the cross-sections parallel to the axis of revolution are easier to work with than those perpendicular to it. If the region bounded by
and the
-axis on
(with
) is rotated about the y-axis, the volume is:
Here
plays the role of the shell radius and
is the shell height. The
factor comes from the circumference of each cylindrical shell.
For standard A-Level students: you do not need this method. If a question asks you to rotate about the y-axis and you express
as a function of
, the disk formula
is all you need.
A Level Maths Exam Tips for Volume Function Questions
(e.g.
). Writing a decimal such as
will lose the final accuracy mark.
explicitly before integrating. Students who try to integrate
and then square the result make a systematic error that loses all accuracy marks.
you find
, then
is outer. Assigning outer and inner the wrong way round gives a negative value inside the integral, which is a clear signal to re-check.Volume Function Problems: Technique Summary
| Technique | Use when... | Formula | Exercises |
|---|---|---|---|
| Disk method — x-axis | Region touches the x-axis (no gap); rotate about the x-axis | V = π∫[a to b] [f(x)]² dx | WE1, WE2, Ex 1–4 |
| Disk method — y-axis | Region touches the y-axis (no gap); rotate about the y-axis | V = π∫[a to b] [f(y)]² dy | Ex 5 |
| Washer method — x-axis | Region bounded by two curves above the x-axis; rotate about the x-axis | V = π∫[a to b] ([f(x)]² − [g(x)]²) dx | WE3, Ex 6, Ex 7 |
| Shell method — y-axis (Further/University only) | Region bounded by curve and x-axis; rotate about y-axis | V = 2π∫[a to b] x·f(x) dx | Shell WE |
Summarise with AI:







