Chapters
Exercise 1
Using the infinite primitive functions of
, for what values of the function does x = 3 take the value of 5?
Exercise 2
Write the primitive function of
whose graph passes through the point (1, 3).
Exercise 3
Find the function F(x) whose derivative is f(x) = x + 6 and for x = 2 takes the value of 25.
Exercise 4
Find a line whose slope is 2 and passes through the point P (0, 4).
Exercise 5
Calculate the equation of the curve through P (1, 5) and whose slope at any point is
.
Exercise 6
Find the antiderivative of the function
, which is annuled for x = 2.
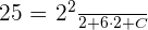
Solution of exercise 1
Using the infinite primitive functions of
, for what values of the function does x = 3 take the value of 5?


and 



Solution of exercise 2
Write the primitive function of
whose graph passes through the point (1, 3).





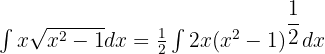
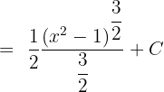
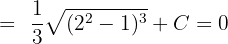
Solution of exercise 3
Find the function F(x) whose derivative is f(x) = x + 6 and for x = 2 takes the value of 25.




Solution of exercise 4
Find a line whose slope is 2 and passes through the point P (0, 4).




Solution of exercise 5
Calculate the equation of the curve through P (1, 5) and whose slope at any point is
.





Solution of exercise 6
Find the antiderivative of the function
, which is annuled for x = 2.














Hi,
what is the integral of ;
(k ^ -u x e ^ u)
Thanks,