Solve the following examples:
The best Maths tutors available
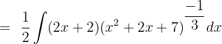
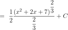
Example 1
Solution
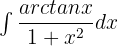
Example 2
Solution
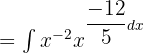
Example 3
Solution
Example 4
Example 5
Solution
Example 6
Solution
Example 7
Solution
Example 8
Solution
Summarise with AI:








