Chapters
Introduction
Integration refers to the computation of an integral. In mathematics, integrals help us in determining many quantities such as displacement, area, and volume, etc. Generally, when we are speaking about integrals, then it means we are referring to definite integrals. For antiderivatives, we employ indefinite integrals. Integration and differentiation are two major concepts in calculus. Differentiation refers to the instantaneous rate of change of the function at a given time. Integration is the reverse process of differentiation.
What are Trigonometric Functions?
Trigonometric functions, also known as circular functions, refer to the functions of an angle of a triangle. It means that these trigonometric functions tell us the relationship between the angles and sides of a triangle. The basic trig functions are given below:
- Sine
- Cosine
- Tangent
- Cotangent
- Secant
- Cosecant
In this article, we will specifically discuss how to compute the integrals of trigonometric functions.
Trigonometric Integrals
Trigonometric integrals refer to the integrals of trigonometric functions. Some of the common integrals of trigonometric functions are given below:
1.
cos x dx = sin x + C
2.
sin x dx = -cos x + C
3.
x dx = tan x + C
4.
x dx = - cotanx + C
5.
(sec x tan x)dx = sec x + C
6.
(cosec x cotan x)dx = - cosec x + C
Techniques for Finding the Integrals of the Trigonometric Functions
In this section of the article, we will discuss what techniques we can use to find the integrals of the trigonometric functions of the form
.
Strategy 1
- If the exponent k is an odd number, then we can rewrite
as
. After that, we can use the trig identity rule
to rewrite
in terms of cos x. Next, we will integrate the function by substituting cos x = u. This substitution will give us the value of du = -sin x dx.
Strategy 2
- If the exponent j is an odd number, then we can rewrite
as
. In the next step, we will use the identity rule
to rewrite
in terms of sin x. Next, we will integrate the function by substituting sin x = u. This substitution will provide us the value of du = cos x dx.
Strategy 3
- If both the exponents j and k are odd numbers, then we can solve the question by using either the first or the second strategy.
Strategy 4
- If both the exponents j and k are even numbers, then we will use
, and
. After we have applied these formulas, we can integrate the function by applying the above strategies where necessary.
Now, we will solve some examples in which we will find the integrals of trigonometric functions.
Example 1
Calculate the integral of the following function:

Solution
can be written as:

According to one of the properties of integrals, we can shift the constants before the integral sign. Hence, we can rewrite the above function as:

As we know that
cosec^2 x dx = - cot x + C and
x dx = tan x + C. Hence, we can substitute these values in the above function to get the final answer:

Example 2
Find the integral of the following function:
cos (13t + 9) dt
Solution
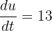
In this example, we will use substitution to find the integral. Suppose 13t + 9 = u.
If u = 13t + 9, then
. This means that
. We will substitute these values in the original function to get the following function:

Shift the fraction before the integral sign:

We know that
cos x dx = tan x + C. Hence, we will substitute this value in the above function:

Since u = 13t + 9, hence substitute this value with u in the above function again:

Example 3
Find the integral of the following function:

Solution
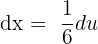
In this example, we will use substitution to find the integral. Suppose 6x - 3 = u.
If u = 6x - 3, then
. This means that
. We will substitute these values in the original function to get the following function:

Shift the fraction before the integral sign:

We know that
. Hence, we will substitute this value in the above function:

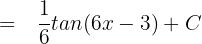
Since u = 6x - 3, hence substitute this value with u in the above function again:

Example 4
Find the integral of the following function:

Solution
You can see that the exponent of sin x is an odd number, hence we can rewrite the above function using strategy 1 like this:

Substitute
in the above function like shown below:

Suppose u = cos x, then
, and -du = sin x dx:



Integrate the above function like this:

Substitute u = cos x again in the above function:

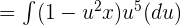
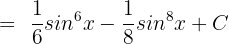
Example 5
Find the integral of the following function:

Solution
You can see that the exponents of both the cos and sine functions are odd numbers, hence we can rewrite the above function either a strategy 1 or 2. In this example, we have chosen the strategy 2:

Substitute
in the above function like shown below:

Suppose u = sin x, then
, and du = cos x dx:



Integrate the above function like this:

Substitute u = cos x again in the above function:

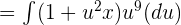
Example 6
Find the integral of the following function:

Solution
Since
, hence we can rewrite the above function in this way:

Substitute
in the above function like shown below:

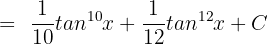
Suppose u = tan x, then
, and du = sec^2 x dx:



Integrate the above function like this:

Substitute u = tan x again in the above function:










Hi,
what is the integral of ;
(k ^ -u x e ^ u)
Thanks,