Chapters
- Exercise 1
- Exercise 2
- Exercise 3
- Exercise 4
- Exercise 5
- Exercise 6
- Exercise 7
- Solution of exercise Algebraic Fractions Worksheet
- Solution of exercise 1
- Solution of exercise Algebraic Fractions Worksheet
- Solution of exercise 2
- Solution of exercise Algebraic Fractions Worksheet
- Solution of exercise 3
- Solution of exercise Algebraic Fractions Worksheet
- Solution of exercise 4
- Solution of exercise Algebraic Fractions Worksheet
- Solution of exercise 5
- Solution of exercise Algebraic Fractions Worksheet
- Solution of exercise 6
- Solution of exercise Algebraic Fractions Worksheet
- Solution of exercise 7
Exercise 1
Simplify:
1 
2 
3 
4 
5 
Exercise 2
Calculate:

Exercise 3
Calculate:

Exercise 4
Calculate:
1 
2 
Exercise 5
Calculate:
1 
2 
Exercise 6
Calculate:

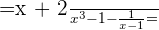
Exercise 7
Calculate:

Find the best Maths tutor on Superprof.
Solution of exercise Algebraic Fractions Worksheet
Solution of exercise 1
Simplify:
1 
is the factor both in the numerator and the denominator:

Cancel
from the numerator and the denominator:
=
2 
is the common factor in the numerator and the denominator:

Make it
:

Cancel
from both the numerator and denominator. The resultant answer will be
.
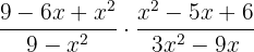
3. 
Factorize the numerator and the denominator:
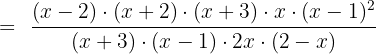
will be cancelled from both numerator and the denominator:

3 
Factorize the numerator and the denominator:
Cancel
from both numerator and the denominator:

4 
Factorize the numerator and the denominator:

Cancel
from the numerator and the denominator:

5 
Factorize the numerator and the denominator:
The common factors will be cancelled:
Solution of exercise Algebraic Fractions Worksheet
Solution of exercise 2
Calculate:

Take L.C.D of the above expression:
can be written as
:
will be cancelled from both the numerator and the denominator. Hence, the resultant answer will be:
Solution of exercise Algebraic Fractions Worksheet
Solution of exercise 3
Calculate:

Least Common Denominator ( L.C.D) is 
The parentheses in the numerator will be opened and the signs of all the terms inside it will be reversed:

can be factored as 

Solution of exercise Algebraic Fractions Worksheet
Solution of exercise 4
Calculate:
1 



2 



Solution of exercise Algebraic Fractions Worksheet
Solution of exercise 5
Calculate:
1 
The second expression will be reversed because of the division sign:



2 
The second fraction will be reversed because of the division sign:



Solution of exercise Algebraic Fractions Worksheet
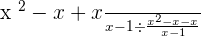
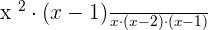
Solution of exercise 6
Calculate:

Since,
, so
can be written as:

Take L.C.D of both the expressions:

Solution of exercise Algebraic Fractions Worksheet
Solution of exercise 7
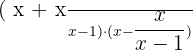
Calculate:

Take L.C.D of the second expression:













in this website math formulas not rendering properly??