Dividing polynomials might look like a math boss battle, but it is fundamentally the same process as the long division you learned in primary school. Instead of just dividing digits, we are managing variables and exponents.
When we divide a polynomial (the dividend) by another (the divisor), we produce a quotient and, occasionally, a remainder. We can represent this using the Division Algorithm:
Where:
- A is the Dividend
- B is the Divisor
- Q is the Quotient
- R is the Remainder
If the remainder is zero, the divisor is a factor of the dividend.
Step-by-Step Worked Example
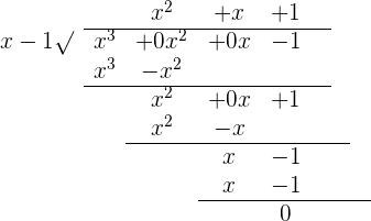
Problem: Divide the following polynomial:
By the divisor:
Step 1: Divide the First Terms
Divide the first term of the dividend by the first term of the divisor:
Place the following at the start of your quotient:
Step 2: Multiply and Subtract
Multiply your first quotient term by the entire divisor:
Subtract this from the dividend to cancel the first term:
Now, bring down the next term:
Step 3: Repeat the Process
Divide the new leading term by the divisor's first term:
Add this to your quotient:
Multiply this new term by the divisor:
Subtract this from your current line:
Bring down the final term:
Step 4: Final Division
Divide the remaining leading term:
Add this to the end of your quotient:
Multiply by the divisor:
Subtract to find the remainder:
Final Result:
The quotient is:
The remainder is:
Practice Questions & Solutions
Divide
by
Divide:

Multiply:

Subtract:
.
Bring down 10, next term:

Final Result: Quotient x + 5, Remainder 0.
Divide
by
Divide:

Multiply:

Subtract:
.
Bring down -3, next term:

Final Result: Quotient 2x + 1, Remainder 0.
Divide
by
Divide:

Multiply:

Subtract:
.
Bring down -9, next term:

Final Result: Quotient x - 3, Remainder 0.
Divide
by
Divide:

Multiply:

Subtract:
.
Bring down -8, next term:

Final Result: Quotient3x - 4, Remainder 0.
Divide
by
Divide:

Multiply:

Subtract:
.
Bring down 3x - 6, next term:

Final Result, Quotient:
,
Remainder 0
Divide
by
Divide:

Multiply:

Subtract:
.
Bring down x, next term:

Multiply:

Subtract:
.
Bring down 2, last term:

Final Result, Quotient:
,
Remainder 1
Divide
by
Divide:

Multiply:

Subtract:
.
Bring down 9, next term:

Multiply:

Final Result: Quotient x + 2, Remainder 3.
Divide
by
Divide:

Multiply:

Subtract:
.
Bring down 0x, next term:

Multiply:

Subtract:
. Bring down
.
Last term:

Final Result, Quotient:
,
Remainder 0
Divide
by
Divide:

Multiply:

Subtract:

Next term:

Multiply:

Subtract:

Final Result: Quotient 2x - 4, Remainder -x + 2.
Divide
by
Divide:

Multiply:

Subtract:
.
Continue: Repeating the steps for each power...
Final Result, Quotient:
,
Remainder 0
Summarise with AI:







