Chapters
- Factor and Calculate the Roots of the Following Polynomials
- Exercise 1
- Exercise 2
- Exercise 3
- Exercise 4
- Exercise 5
- Exercise 6
- Exercise 7
- Exercise 8
- Exercise 9
- Exercise 10
- Exercise 11
- Exercise 12
- Exercise 13
- Exercise 14
- Exercise 15
- Solution of exercise 1
- Solution of exercise 2
- Solution of exercise 3
- Solution of exercise 4
- Solution of exercise 5
- Solution of exercise 6
- Solution of exercise 7
- Solution of exercise 8
- Solution of exercise 9
- Solution of exercise 10
- Solution of exercise 11
- Solution of exercise 12
- Solution of exercise 13
- Solution of exercise 14
- Solution of exercise 15
The best Maths tutors available
Factor and Calculate the Roots of the Following Polynomials
Exercise 1

Exercise 2

Exercise 3

Exercise 4

Exercise 5

Exercise 6

Exercise 7

Exercise 8

Exercise 9

Exercise 10

Exercise 11

Exercise 12

Exercise 13
Exercise 14
Factorize the following.
Exercise 15
Factorize the following.
Solution of exercise 1
Solution of exercise 2
Solution of exercise 3
Solution of exercise 4
Solution of exercise 5



In order to break the middle term, you need to multiply "a" with "c":

Now break 9 into least possible factors:

The next step is to check the sign of the c and in this case, it is positive this means that you need to add the factors to come up with 6:

Now your middle term is broken, you can carry forward:





Solution of exercise 6










Solution of exercise 7
Assuming :









Putting the value of t:



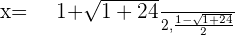
Solution of exercise 8
Assuming :









Putting the value of t:


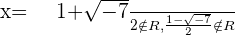
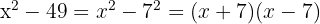
Solution of exercise 9



Solution of exercise 10

Solution of exercise 11






Solution of exercise 12










Solution of exercise 13









Solution of exercise 14




















Solution of exercise 15

























































in this website math formulas not rendering properly??