The best Maths tutors available
Sehaj
4.9
4.9 (56 reviews)
Sehaj
£60
/h
Gift icon
1st lesson free!
Intasar
5
5 (68 reviews)
Intasar
£129
/h
Gift icon
1st lesson free!
Johann
5
5 (48 reviews)
Johann
£50
/h
Gift icon
1st lesson free!
Hiren
5
5 (32 reviews)
Hiren
£149
/h
Gift icon
1st lesson free!
Poonam
5
5 (62 reviews)
Poonam
£100
/h
Gift icon
1st lesson free!
Harjinder
4.9
4.9 (163 reviews)
Harjinder
£25
/h
Gift icon
1st lesson free!
Syed
5
5 (66 reviews)
Syed
£50
/h
Gift icon
1st lesson free!
Farooq
4.9
4.9 (50 reviews)
Farooq
£50
/h
Gift icon
1st lesson free!
Sehaj
4.9
4.9 (56 reviews)
Sehaj
£60
/h
Gift icon
1st lesson free!
Intasar
5
5 (68 reviews)
Intasar
£129
/h
Gift icon
1st lesson free!
Johann
5
5 (48 reviews)
Johann
£50
/h
Gift icon
1st lesson free!
Hiren
5
5 (32 reviews)
Hiren
£149
/h
Gift icon
1st lesson free!
Poonam
5
5 (62 reviews)
Poonam
£100
/h
Gift icon
1st lesson free!
Harjinder
4.9
4.9 (163 reviews)
Harjinder
£25
/h
Gift icon
1st lesson free!
Syed
5
5 (66 reviews)
Syed
£50
/h
Gift icon
1st lesson free!
Farooq
4.9
4.9 (50 reviews)
Farooq
£50
/h
Gift icon
1st lesson free!
Let's go

Exercise 1

Indicate which of the following expressions are monomials. If it is, indicate the degree and coefficient of the monomial. If it is not, state why it is not a monomial:

Exercise 2

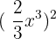
Simplify:

1   

2   

Exercise 3

Solve:

1   

2   

3   

4   

5   

6   

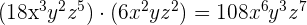
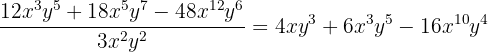
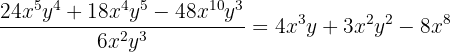
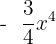
Exercise 4

Solve:

Exercise 5

Solve:

Solution of exercise

Solution of exercise 1

Indicate which of the following expressions are monomials. If it is, indicate the degree and coefficient of the monomial. If it is not, state why it is not a monomial:

Degree : 3, coefficient : 3

It is not a monomial because the exponent is not a natural number

It is a binomial, not a monomial.

Degree : 1, coefficient

Degree:4, coefficient :

It is not a monomial because the exponent is not a natural number.

It is not a monomial because the variable is inside the root.

Solution of exercise 2

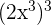
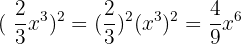
Simplify:

1   

Solution of exercise 3

Solve:

1   

2   

3   

4   

5   

6   

Solution of exercise 4

Solve:

Solution of exercise 5

Solve:

Did you like this article? Rate it!

4.00 (6 rating(s))
Loading...
Emma

Emma

I am passionate about travelling and currently live and work in Paris. I like to spend my time reading, gardening, running, learning languages and exploring new places.