Chapters
Exercise 2
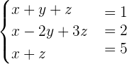
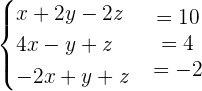
Exercise 3
Exercise 4
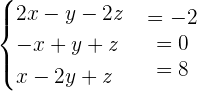
Exercise 5
Exercise 6
Solution of exercise 1

Solution of exercise 2
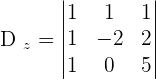
Solution of exercise 3
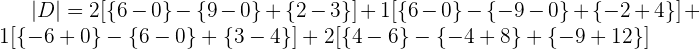
Solution of exercise 4
Solution of exercise 5
Solution of exercise 6
Summarise with AI:









I am impressed well done.