Chapters
- Exercise 1
- Exercise 2
- Exercise 3
- Exercise 4
- Exercise 5
- Exercise 6
- Exercise 7
- Exercise 8
- Exercise 9
- Exercise 10
- Exercise 11
- Exercise 12
- Exercise 13
- Exercise 14
- Exercise 15
- Solution of exercise 1
- Solution of exercise 2
- Solution of exercise 3
- Solution of exercise 4
- Solution of exercise 5
- Solution of exercise 6
- Solution of exercise 7
- Solution of exercise 8
- Solution of exercise 9
- Solution of exercise 10
- Solution of exercise 11
- Solution of exercise 12
- Solution of exercise 13
- Solution of exercise 14
- Solution of exercise 15
The best Maths tutors available
Exercise 1

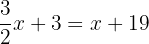
Exercise 2

Exercise 3

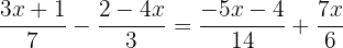
Exercise 4

Exercise 5

Exercise 6

Exercise 7

Exercise 8

Exercise 9

Exercise 10

Exercise 11

Exercise 12

Exercise 13

Exercise 14

Exercise 15

Solution of exercise 1



Solution of exercise 2



Solution of exercise 3






Solution of exercise 4

LCM







Solution of exercise 5






Solution of exercise 6





Solution of exercise 7





Solution of exercise 8

LCM





Solution of exercise 9

LCM






Solution of exercise 10






Solution of exercise 11





Solution of exercise 12



LCM




Solution of exercise 13








Solution of exercise 14






Solution of exercise 15








3^x -2^y+2=10
2^x-3^x-2=2