The best Maths tutors available
Poonam
5
5 (64 reviews)
Poonam
£100
/h
Gift icon
1st lesson free!
Paolo
4.9
4.9 (78 reviews)
Paolo
£35
/h
Gift icon
1st lesson free!
Shane
4.9
4.9 (51 reviews)
Shane
£50
/h
Gift icon
1st lesson free!
Akash
5
5 (60 reviews)
Akash
£38
/h
Gift icon
1st lesson free!
Anthony
5
5 (75 reviews)
Anthony
£15
/h
Gift icon
1st lesson free!
Johann
5
5 (50 reviews)
Johann
£50
/h
Gift icon
1st lesson free!
Hiren
5
5 (32 reviews)
Hiren
£149
/h
Gift icon
1st lesson free!
Harjinder
4.9
4.9 (163 reviews)
Harjinder
£25
/h
Gift icon
1st lesson free!
Poonam
5
5 (64 reviews)
Poonam
£100
/h
Gift icon
1st lesson free!
Paolo
4.9
4.9 (78 reviews)
Paolo
£35
/h
Gift icon
1st lesson free!
Shane
4.9
4.9 (51 reviews)
Shane
£50
/h
Gift icon
1st lesson free!
Akash
5
5 (60 reviews)
Akash
£38
/h
Gift icon
1st lesson free!
Anthony
5
5 (75 reviews)
Anthony
£15
/h
Gift icon
1st lesson free!
Johann
5
5 (50 reviews)
Johann
£50
/h
Gift icon
1st lesson free!
Hiren
5
5 (32 reviews)
Hiren
£149
/h
Gift icon
1st lesson free!
Harjinder
4.9
4.9 (163 reviews)
Harjinder
£25
/h
Gift icon
1st lesson free!
Let's go

Exercise 1

Study the following functions and determine if they are continuous. If not, state where the discontinuities exist and what type they are:

1

2

3

4

5

6

Exercise 2

Determine if the following function is continuous at x = 0.

Exercise 3

Determine if the following function is continuous on (0,3). If not, state where the discontinuities exist and what type they are:

Exercise 4

Are the following functions continuous at x = 0?

Exercise 5

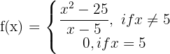
Given the function:

1 Prove that f(x) is not continuous at x = 5.

2Is there a continuous function which coincides with f(x) for all values with the exception x = 5? If so, determine the function.

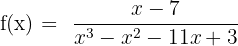
Exercise 6

Determine if the following function is continuous. If not, state where the discontinuities exist or why the function is not continuous:

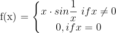
Exercise 7

Determine if the following function is continuous at x = 0.

Exercise 8

Determine the value of a to make the following function continuous.

Exercise 9

The function defined by:

is continuous on [0, ∞).

Determine the value of a that would make this statement true.

Solution of exercise 1

Study the following functions and determine if they are continuous. If not, state where the discontinuities exist:

1

The function is continuous at all points of its domain.

D = R − {−2,2}

The function has two points of discontinuity at x = −2 and x = 2.

2 

The function is continuous at R with the exception of the values that annul the denominator. If this is equal to zero and the equation is solved, the discontinuity points will be obtained.

x = −3; and by solving the quadratic equation: and are also obtained

The function has three points of discontinuity at , and .

3 

\lim _ {x \rightarrow 2^{-}} (x + 1) = 3

\lim _ {x \rightarrow 2^{+}} (2x - 1) = 3

The function is continuous.

4 

\lim _ {x \rightarrow 0^{-}} (x^2 - 1) = -1

\lim _ {x \rightarrow 0^{+}} (2x - 3) = -3

The function has a jump discontinuity at x = 0 .

5

\lim_{x \rightarrow 1^{-}} (\frac{1}{x}) = 1

\lim_{x \rightarrow 1^{+}} \sqrt{x + 1} = \sqrt{2}

The function has a jump discontinuity at x = 1 .

\lim_{x \rightarrow 0^{-}} (\frac {e^x}{e^x + 1}) = \frac{1}{2}

\lim_{x \rightarrow 0^{+}} x^2 + 1 = 1

The function has a jump discontinuity at x = 1/2 .

Solution of exercise 2

Determine if the following function is continuous at x = 0.

\lim_{x \rightarrow 0^{+}} x^ {\frac{1}{x}} = 0 ^ {\frac{1}{0^{+}}} = 0 ^{\infty} = 0

\lim_{x \rightarrow 0^{-}} x^ {\frac{1}{x}}

At x = 0, there is an essential discontinuity.

Solution of exercise 3

Determine if the following function is continuous on (0,3). If not, state where the discontinuities exist and what type they are:

\lim_{x \rightarrow 1^{-}} x^2 = 1

\lim_{x \rightarrow 1^{+}} 0 = 0

At x = 1, there is a jump discontinuity.

\lim_{x \rightarrow 2^{-}} 0 = 0

\lim_{x \rightarrow 2^{+}} x - 1 = 1

At x = 2, there is a jump discontinuity.

Solution of exercise 4

Are the following functions continuous at x = 0?

\lim_{x \rightarrow 0^{-}} 2^{-x} = 2 ^{0^{-}} = 2^0 = 1

\lim_{x \rightarrow 0^{+}} 2^{-x} = 2^{-0^{+}} = \frac{1}{2^0} = 1

The function is continuous at x = 0.

Solution of exercise 5

Given the function:

1  Prove that f(x) is not continuous at x = 5.

\lim_{x \rightarrow 5} \frac{x^2 - 25}{x - 5} = \frac{0}{0}

Solve the indeterminate form.

\lim_{x \rightarrow 5} \frac{(x + 5) (x - 5)}{x - 5} = \lim_{x \rightarrow 5} (x + 5) = 10

f (x) is not continuous at x = 5 because:

\lim_{x \rightarrow 5} f(x) \neq f(5)

2 Is there a continuous function which coincides with f(x) for all values with the exception x = 5? If so, determine the function.

If \lim_{x \rightarrow 5} f(x) = f(5) = 10  the function would be continuous, then the function is redefined:

Solution of exercise 6

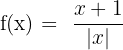
Determine if the following function is continuous. If not, state where the discontinuities exist or why the function is not continuous:

The function f(x) is continuous for x ≠ 0. Therefore, study the continuity at x = 0.

\lim_{x \rightarrow 0 ^{-}} \frac{x + 1}{|x|} = \lim_{x \rightarrow 0^{-}} \frac{x + 1}{-x} = \lim_{x \rightarrow 0^{-}}(-1 - \frac{1}{x}) = -1 - \frac{1}{0^{-}} = \infty

\lim_{x \rightarrow 0 ^{+}} \frac{x + 1}{|x|} = \lim_{x \rightarrow 0^{+}} \frac{x + 1}{x} = \lim_{x \rightarrow 0^{+}}(-1 - \frac{1}{x}) = -1 - \frac{1}{0^{+}} = \infty

The function is not continuous at x = 0, because it is defined at that point.

Solution of exercise 7

Determine if the following function is continuous at x = 0:

The function  is bounded by , ,  therefore takes place:

\lim_{x \rightarrow{0}} (x \cdot sin \dfrac{1}{x}) = 0, since any number multiplied by zero gives zero.

As f(0) = 0.

The function is continuous.

Solution of exercise 8

Determine the value of a to make the following function continuous:

\lim_{x \rightarrow 1^{-}} (x + 1) = 2

\lim_{x \rightarrow 1^{+}} (3 - ax^2) = 3 - a

Solution of exercise 9

The function defined by:

is continuous on [0, ∞).

Determine the value of a that would make this statement true.

\lim_{x \rightarrow 8^{-}} \sqrt{ax} = \sqrt{8a}

\lim_{x \rightarrow 8^ {+}} \frac{x^2 - 32}{x - 4} = 8

Summarise with AI:

Did you like this article? Rate it!

4.00 (4 rating(s))
Loading...
Emma

Emma

I am passionate about travelling and currently live and work in Paris. I like to spend my time reading, gardening, running, learning languages and exploring new places.