In this article, we will discuss how to evaluate a given function if its limit approaches to infinity and we get an indeterminate form of zero times infinity or infinity times zero. But before proceeding to discuss that, first, we will see what are limits and l'Hôpital's Rule because both these concepts are closely related to our main topic.
What are Limits?
Limits are used to represent how a function performs when its independent variable, x, is close to a specific number. The formal definition of a limit is given below:
Suppose f is a function defined on a specific open interval that has a number a, except at a itself. We can conclude that the limit of f(x) as x approaches to a is L, and we can write it in mathematical notation like this:
\lim_ {x\rightarrow a} f(x) = L
Suppose for every number
, there is a corresponding number
in such as way that:

whenever:

l'Hôpital's Rule
Suppose f and g are differentiable functions, with g'(x) not equal to zero in an interval around a, except a itself. In such a case, one of the following must be true:
- Both the functions f(x) and g(x) have limit zero as x approaches a
- Both the functions f(x) and g(x) have infinite limit (either positive or negative) as x approaches a
Then, the limit of the ratio of f and g, i.e.
is equal to the limit of the ratio of f ' and g ', i.e.,
{where the prime represents the appropriate derivative}, until the limit exists, or is infinite.
l'Hôpital's Rule can be applied in one of the following forms of the limit:
, where both f(x) and g(x) approach to 0
, where both f(x) and g(x) approach to infinity
, where f(x) approaches to infinity and g(x) approaches to 0
, where both f(x) and g(x) approach infinity
, where both f(x) and g(x) approach to 0
, where f(x) approaches to infinity and g(x) approaches to 0
, where f(x) approaches 1 and g(x) approaches infinity
In this article, we will discuss how to apply l'Hôpital's Rule if
, where f(x) approaches to infinity and g(x) approaches to 0. Therefore, we can call it zero times infinity or infinity times zero.
In the next section, we will solve a couple of examples step by step which will explain how to apply the above discussed rule when both the functions are multiplied with each other and limit approaches to infinity.
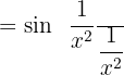
Example 1
Evaluate
\lim_ {x \rightarrow \infty} (x^2 sin \dfrac{1}{x^2})
Solution
The above function has an indeterminate form of
because
\lim_ {x \rightarrow \infty}(x^2)
is equal to
, and
\lim_ {x \rightarrow \infty} \dfrac{1}{x^2}
is equal to 0.
The function
can be written as:

When we will apply the limit on the above function as shown below, we will still get an indeterminate form of
or
:
\lim _ {x \rightarrow \infty} \frac {sin \dfrac{1}{x^2}} {\dfrac{1}{x^2}}
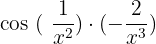
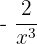
As, the function still has an indeterminate form, hence we will apply l'Hôpital's Rule here. To apply the l'Hôpital's Rule, we will take the first derivative of numerator and denominator separately. The first derivative of
is
and the derivative of
is
. Now, substitute these derivatives in the function like this:
=
\lim _ {x \rightarrow \infty} \frac {cos (\dfrac{1}{x^2}) \cdot (-\dfrac{2}{x^3})} {-\dfrac{2}{x^3}}
Simplifying the above expression will give us the following result:
=
\lim _ {x \rightarrow \infty} cos \dfrac{1}{x^2}
When we will apply limit on the above function we will get the following answer:
= 
Example 2
Evaluate
\lim_ {x \rightarrow \infty} (3x tan \dfrac{1}{x})
Solution
The above function has an indeterminate form of
because
\lim_ {x \rightarrow \infty}(3x)
is equal to
, and
\lim_ {x \rightarrow \infty} \frac{1}{x}
is equal to 0.
The function
can be written as:

When we will apply the limit on the above function as shown below, we will still get an indeterminate form of
or
:
\lim _ {x \rightarrow \infty} \frac {tan \dfrac{1}{x}} {\dfrac{1}{3x}}
As, the function still has an indeterminate form, hence we will apply l'Hôpital's Rule here. To apply the l'Hôpital's Rule, we will take the first derivative of numerator and denominator separately. The first derivative of
is
and the derivative of
is
. Now, substitute these derivatives in the function like this:
=
\lim _ {x \rightarrow \infty} \frac {-sec^2 (\frac{1}{x}) \cdot (-\dfrac{1}{x^2})} {-\dfrac{1}{3x^2}}
Simplifying the above expression will give us the following result:
=
\lim _ {x \rightarrow \infty} \frac {-sec^2 (\frac{1}{x})} {- \frac{1}{3}}
When we will apply limit on the above function we will get the following answer:
= 
= 
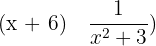
Example 3
Evaluate
\lim_ {x \rightarrow \infty} (x + 6) \frac{1}{x^2 + 3}
Solution
The above function has an indeterminate form of
because
\lim_ {x \rightarrow \infty}(x + 6)
is equal to
, and
\lim_ {x \rightarrow \infty} x^2 + 3
is also equal to \infty.
The function
can be written as:

When we will apply the limit on the above function as shown below, we will still get an indeterminate form of
:
=
\lim _ {x \rightarrow \infty} \frac {x + 6} {x^2 + 3}
As, the function still has an indeterminate form, hence we will apply l'Hôpital's Rule here. To apply the l'Hôpital's Rule, we will take the first derivative of numerator and denominator separately. The first derivative of
is
and the derivative of
is 2x. Now, substitute these derivatives in the function like this:
=
\lim _ {x \rightarrow \infty} \frac {1}{2x}
Applying the limit on the above function will give us the following result:
= 
= 
Example 4
Evaluate
\lim_ {x \rightarrow \infty} (x + 15) \dfrac{1}{x^2 + 6x + 36}
Solution
The above function has an indeterminate form of
because
\lim_ {x \rightarrow \infty}(x + 15)
is equal to
, and
\lim_ {x \rightarrow \infty} x^2 + 6x + 36
is also equal to \infty.
The function
can be written as:

When we will apply the limit on the above function as shown below, we will still get an indeterminate form of
:
\lim _ {x \rightarrow \infty} \frac {x + 15} {x^2 + 6x + 36}
As, the function still has an indeterminate form, hence we will apply l'Hôpital's Rule here. To apply the l'Hôpital's Rule, we will take the first derivative of numerator and denominator separately. The first derivative of
is
and the derivative of
is 2x + 6. Now, substitute these derivatives in the function like this:
=
\lim _ {x \rightarrow \infty} \frac {1}{2x + 6}
Applying the limit on the above function will give us the following result:
= 
= 
Summarise with AI:









Derivative of denominator is wrong
Good catch—thanks for pointing that out! We’ll double-check the derivative in that section and make any necessary corrections. Really appreciate you taking the time to flag it. 👍
Thank you
Thank you Abbas! Good luck with your studies!
With regard to the Zero Over a Number item, is there a mis-statement? It’s immediately followed by “If a number is divided by zero which means that the numerator is zero and the denominator is the number, then the result is zero.”
Hi Mark,
You’re absolutely right to raise the question — there does appear to be a misstatement in that sentence. The phrase “If a number is divided by zero, which means that the numerator is zero and the denominator is the number…” is indeed misleading and should be corrected.
To clarify:
Zero divided by a number (e.g. 0 ÷ 5) equals 0.
A number divided by zero (e.g. 5 ÷ 0) is undefined.
We’ll update the sentence to reflect the correct mathematical explanation. We appreciate you catching that and helping us improve the accuracy of the content!
There is more than one size of infinity, though. What if you multiply the infinity of the whole numbers (Aleph-0) by the infinity of the real numbers (fraktur-c)?
Thanks a lot to you for this essentiol article.
Hi Piyash! Thanks for your comment, great to hear that you found this useful!
Very nice