Chapters

The best Maths tutors available
One-Sided Limit
Left side limit or left hand limit


Right side limit or right hand limit


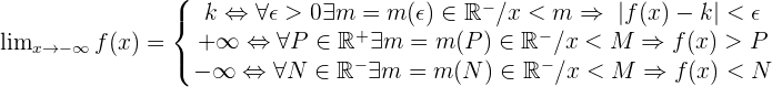
Infinite Limit


Limits at Infinity


Limit of a Constant

Limit of a Sum

Limit of a Multiplication

Limit of a Division

Limit of a Power

Limit of a Function

g can be a root, a log, sin, cos, tan, etc.
Limit of a Root

Limit of a Logarithm

L'Hôpital's Rule


Thank you
Thank you Abbas! Good luck with your studies!
With regard to the Zero Over a Number item, is there a mis-statement? It’s immediately followed by “If a number is divided by zero which means that the numerator is zero and the denominator is the number, then the result is zero.”
Hi Mark,
You’re absolutely right to raise the question — there does appear to be a misstatement in that sentence. The phrase “If a number is divided by zero, which means that the numerator is zero and the denominator is the number…” is indeed misleading and should be corrected.
To clarify:
Zero divided by a number (e.g. 0 ÷ 5) equals 0.
A number divided by zero (e.g. 5 ÷ 0) is undefined.
We’ll update the sentence to reflect the correct mathematical explanation. We appreciate you catching that and helping us improve the accuracy of the content!
There is more than one size of infinity, though. What if you multiply the infinity of the whole numbers (Aleph-0) by the infinity of the real numbers (fraktur-c)?
Thanks a lot to you for this essentiol article.
Hi Piyash! Thanks for your comment, great to hear that you found this useful!
Very nice
🚇🌋⚓️🛳️✈️🛸🚅🛬🚆♟️