What happens to a function as it gets closer and closer to a specific point, even if it never actually reaches it? In mathematics, this concept is known as a limit. Limits allow us to explore the behaviour of functions at points where they might be undefined or behave strangely. They are the fundamental building blocks of calculus, providing the basis for both differentiation and integration.
Theory
Understanding Limit Notation
A limit describes the value that a function f(x) approaches as the input x approaches a specific value a. The mathematical notation is written as:
This reads as: "The limit of f(x) as x approaches a equals L." It is important to note that the limit is about the trend of the function, not necessarily the value of the function at that exact point.
One-Sided Limits
Sometimes, a function behaves differently depending on whether you approach the value from the left (smaller numbers) or the right (larger numbers).
- Left-hand limit: The value f(x) approaches as x approaches a from the left:
- Right-hand limit: The value f(x) approaches as x approaches a from the right:
For a general limit to exist at point a, both the left-hand and right-hand limits must be equal.
Numerical Estimation
We can estimate a limit by creating a table of values. For example, consider the function:
as x approaches 1. Since plugging in 1 results in division by zero, we look at values nearby:
| x | f(x) |
|---|---|
| 0.9 | 1.9 |
| 0.99 | 1.99 |
| 0.999 | 1.999 |
| 1.001 | 2.001 |
| 1.01 | 2.01 |
| 1.1 | 2.1 |
As seen in the data, as x gets closer to 1 from both sides, f(x) clearly approaches 2.
Indeterminate Forms
When evaluating a limit using direct substitution, you may encounter results that are not clearly defined. These are called indeterminate forms. Common examples include:
When you see these, it usually means you need to use algebraic techniques—like factoring or rationalising—to simplify the expression before trying again.
Worked Example
Problem: Find the limit:
Step 1: Attempt Direct Substitution - if we plug in:
This is an indeterminate form.
Step 2: Factor the Numerator - the numerator is a difference of two squares:
Step 3: Simplify the Expression:
(Note: This simplification is valid because the limit looks at values where x ≠ 2).
Step 4: Re-evaluate the Limit:
Practice Questions & Solutions
Evaluate the following limit:

Since the function is linear and defined at x = 5, use direct substitution.


Find the limit as x approaches infinity for the following function:

Consider what happens as x becomes extremely large. As the denominator increases toward infinity, the fraction becomes smaller. The value gets closer and closer to zero.
Solve the limit using factoring:

Direct substitution gives 0/0, so factor the numerator.
Cancel the common terms.
Substitute the value of x.

Find the limit as x approaches infinity for the following rational function:

Divide every term in the numerator and denominator by the highest power of x, which is

As x approaches infinity, the terms with x in the denominator approach zero.

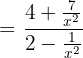
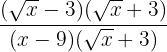
Evaluate the following limit using rationalisation:

Direct substitution gives an indeterminate form of 0/0. Multiply the numerator and denominator by the conjugate of the numerator.
Simplify the numerator using the difference of squares.
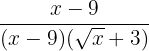
Cancel the common factor of (x - 9).
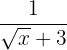
Substitute x = 9 into the simplified expression.


Summarise with AI:







