Chapters
- Exercise 1
- Exercise 2
- Exercise 3
- Exercise 4
- Exercise 5
- Exercise 6
- Exercise 7
- Exercise 8
- Exercise 9
- Solution of exercise 1
- Solution of exercise 2
- Solution of exercise 3
- Solution of exercise 4
- Solution of exercise 5
- Solution of exercise 6
- Solution of exercise 7
- Solution of exercise 8
- Solution of exercise 9
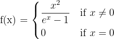
Exercise 1
Find the point(s) of discontinuity for the function .
Exercise 2
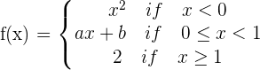
Consider the function:

If , determine the values of a and b for which f(x) is continuous.
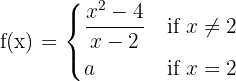
Exercise 3
Given the function:

Determine the value of a for which the function is continuous at .
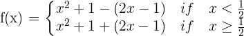
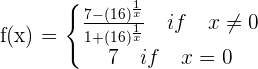
Exercise 4
Given the function:

Determine the points of discontinuity.
Exercise 5
Given the function:

Determine a and b so that the function is continuous for all values of x.
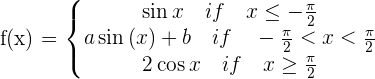
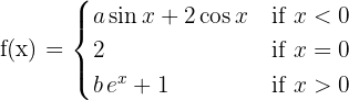
Exercise 6
Given the function:

Determining the value of a for which f(x) is continuous.
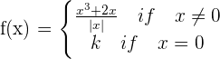
Exercise 7
Calculate the value of k for the following continuous function.

Exercise 8
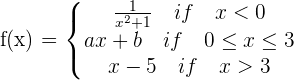
Given the function:

Determine the values for a and b in order to create a continuous function.
Exercise 9
Determine the values for a and b in order to create a continuous function.

Solution of exercise 1
Find the point(s) of discontinuity for the function .






There are no points of discontinuity as the function is continuous.
Solution of exercise 2
Consider the function:

If , determine the values of a and b for which f(x) is continuous.
There is only a question of continuity at .



For the function to be continuous:

On the other hand there is:

Solve the system of equations and obtain:

Solution of exercise 3
Given the function:

Determine the value of a for which the function is continuous at .



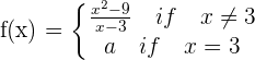
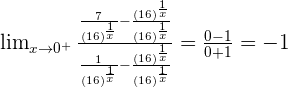
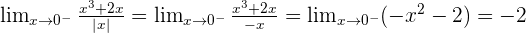
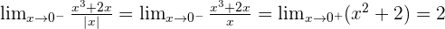
Solution of exercise 4
Given the function:

Determine the points of discontinuity.
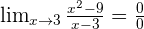
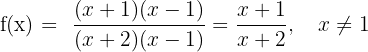
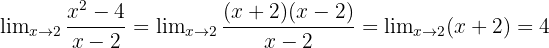
The exponential function is positive for all , therefore the denominator of the function cannot be annulled.
There is only doubt of the continuity at .


Solve the indeterminate form dividing by

The function is continuous on .
See also in trigonometric working demo.
Solution of exercise 5
Given the function:

Determine a and b so that the function is continuous for all values of x.







Solution of exercise 6
Given the function:

Determining the value of a for which f(x) is continuous.



Solution of exercise 7
Calculate the value of k for the following continuous function.



Therefore there is no limit for the function and there is no value that would make f(x) continuous at , regardless of what value k is given.
Solution of exercise 8
Given the function:

Determine the values for a and b in order to create a continuous function.








Solution of exercise 9
Determine the values for a and b in order to create a continuous function.







Thank you
Thank you Abbas! Good luck with your studies!
With regard to the Zero Over a Number item, is there a mis-statement? It’s immediately followed by “If a number is divided by zero which means that the numerator is zero and the denominator is the number, then the result is zero.”
Hi Mark,
You’re absolutely right to raise the question — there does appear to be a misstatement in that sentence. The phrase “If a number is divided by zero, which means that the numerator is zero and the denominator is the number…” is indeed misleading and should be corrected.
To clarify:
Zero divided by a number (e.g. 0 ÷ 5) equals 0.
A number divided by zero (e.g. 5 ÷ 0) is undefined.
We’ll update the sentence to reflect the correct mathematical explanation. We appreciate you catching that and helping us improve the accuracy of the content!
There is more than one size of infinity, though. What if you multiply the infinity of the whole numbers (Aleph-0) by the infinity of the real numbers (fraktur-c)?
Thanks a lot to you for this essentiol article.
Hi Piyash! Thanks for your comment, great to hear that you found this useful!
Very nice
🚇🌋⚓️🛳️✈️🛸🚅🛬🚆♟️