In mathematics, the expression
is known as an indeterminate form. It is not equal to zero, not equal to one, and not equal to infinity — it is simply undefined. This is because there is no single, consistent value we can assign to it.
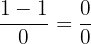
To understand why, consider what division means. When we write
, we mean
. If we try
, then we need
, which is true for every value of
. Since the answer could be anything, the expression is indeterminate.
More generally, any number divided by zero is undefined:
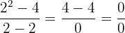
So, when does this situation actually arise? It comes up naturally when we evaluate limits. For instance, consider the following limit:
If we substitute
directly, we get
— the indeterminate form. Clearly, we need a better strategy than direct substitution.
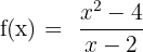
Example: Encountering the Indeterminate Form
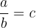
Consider the function:
Let us find the limit as
:
Substituting
directly gives:
This is the indeterminate form, so direct substitution fails. However, we can investigate by testing values close to 2:
| x | f(x) |
|---|---|
| 2.1 | 4.1 |
| 2.01 | 4.01 |
| 2.001 | 4.001 |
| 1.9 | 3.9 |
| 1.99 | 3.99 |
The values clearly approach 4 as
. But is there a way to confirm this algebraically without plugging in lots of values? Yes — we can factorise, or use L'Hôpital's rule.
Factorising approach: Notice that
, so:
Limits: A Quick Summary
When you take the limit of a function, you are asking: what value does the function approach as
gets closer and closer to a particular number
?
The notation is:
The standard method is to substitute
directly into
. For example:
This works whenever the function is continuous at
. Problems arise when substitution produces an indeterminate form such as
.
It is also important to remember that a limit can be approached from two directions:
- From the right:
— values of
slightly greater than 
- From the left:
— values of
slightly less than 
For the overall limit to exist, both one-sided limits must agree.
Indeterminate Forms
An indeterminate form is an expression whose value cannot be determined from the form alone. The most common indeterminate forms are:
Fraction forms:
Product and difference forms:
Power forms:
When evaluating a limit produces any of these forms, you cannot determine the answer by substitution alone. Instead, you must use an algebraic technique (such as factorising, rationalising, or simplifying) or apply L'Hôpital's rule.
L'Hôpital's Rule
L'Hôpital's rule provides a powerful method for evaluating limits that result in the indeterminate forms
or
.
The rule states:
If
and
(or both tend to
), and
near
, then:
provided the limit on the right-hand side exists.
Key conditions for using L'Hôpital's rule:
- The original limit must produce an indeterminate form (
or
). - Both
and
must be differentiable near
. - The limit of the ratio of derivatives must exist (or be
).
Important: You differentiate the numerator and denominator separately — you do not use the quotient rule.
Solving Zero Over Zero: A Worked Example
Example 1: Consider the limit:
Check for indeterminate form: Substituting
:
This is the indeterminate form
, so we can apply L'Hôpital's rule.
Step 1: Differentiate the numerator and denominator separately
Step 2: Evaluate the new limit
Substituting
:
We have the indeterminate form again! This means we apply L'Hôpital's rule a second time.
Step 3: Differentiate again
Step 4: Evaluate the new limit
Therefore:
Summary of the method:
| Step | Action |
|---|---|
| 1 | Confirm that substitution gives an indeterminate form ((\dfrac{0}{0}) or (\dfrac{\infty}{\infty})) |
| 2 | Differentiate the numerator and denominator separately |
| 3 | Substitute (x = a) into the new expression |
| 4 | If the result is still indeterminate, repeat steps 2–3. If repeated applications continue to give indeterminate forms, try a different method (e.g., factorising, rationalising, or Taylor series) |
Additional Worked Examples
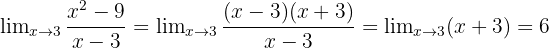
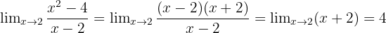
Example 2: Factorising method
Find
.
Substituting
gives
. Factorise the numerator:

Example 3: L'Hôpital's rule with exponentials
Find
.
Substituting
gives
. Apply L'Hôpital's rule:

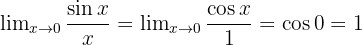
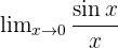
Example 4: L'Hôpital's rule with trigonometric functions
Find
.
Substituting
gives
. Apply L'Hôpital's rule:

This is one of the most important standard limits in calculus.
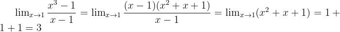
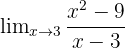
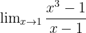
Example 5: Factorising a cubic
Find
.
Substituting
gives
. Factorise using the difference of cubes identity
:

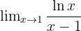
Example 6: L'Hôpital's rule with logarithms
Find
.
Substituting
gives
. Apply L'Hôpital's rule:

Example 7: Applying L'Hôpital's rule twice
Find
.
Substituting
gives
. Apply L'Hôpital's rule:

Substituting
again gives
, so apply L'Hôpital's rule a second time:

Therefore:

Summarise with AI:








