Chapters
These exercises explore how calculus describes change in real-world situations. By using derivatives, we can determine velocity from position, acceleration from velocity, and the instantaneous rate of change of growing populations. We also distinguish between average rates, which measure change over an interval, and instantaneous rates, which show change at a specific moment. Concepts of linear and circular motion, exponential growth, and related rates are all applied to practical problems, preparing you to calculate and interpret dynamic behaviours in each scenario.
Now, let’s apply these concepts to the exercises.
Key Definitions and Concepts
Derivatives and Rates of Change: The derivative of a function measures how it changes at any given moment. For motion problems, the derivative of position gives velocity, and the derivative of velocity gives acceleration.
Average vs. Instantaneous Rates: The average rate of change measures how much a quantity changes over an interval, while the instantaneous rate of change (the derivative) shows how fast it is changing at a specific moment.
Linear and Circular Motion: In straight-line (rectilinear) motion, velocity and acceleration are straightforward derivatives of position. In circular motion, the derivative of angular position gives angular velocity, and the second derivative gives angular acceleration.
Exponential Growth: Functions like f(t)=etf(t) = e^t model populations or quantities that grow continuously. Derivatives describe the instantaneous growth rate.
Related Rates: When one quantity changes with respect to another (like the radius of a tank as volume increases), derivatives help find the rate of change of one variable in terms of another.
Exercises
The equation of a rectilinear movement is: d(t) = t³ − 27t. At what moment is the velocity zero? Also, what is the acceleration at this moment?
The equation of a rectilinear movement is: d(t) = t³ − 27t. At what moment is the velocity zero? Also, what is the acceleration at this moment?
v(t) = d′t) = 3t² − 27 3t² − 27 = 0t = ± 3
a(t) = d′'(t) = 6ta(−3) = −18a(3) = 18
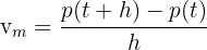
What is the speed that a vehicle is travelling according to the equation d(t) = 2 − 3t² at the fifth second of its journey? In this instance, space is measured in meters and time in seconds.
v_{5}^{t} = \lim_{h\rightarrow 0} \frac{2 - 3(5 + h)^2 - 2 + 3 \cdot 5^2}{h}
= \lim_{h \rightarrow 0} \frac{-30h - 3h^2}{h}
= \lim_{h \rightarrow 0} \frac{h (-30 - 3h)}{h}

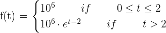
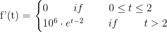
Due to bad environmental conditions, a colony of a million bacteria does not reproduce during the first two months of a study. The function that represents the population of the colony during the entire study (time is represented in months) is given by:

1. Verify that the population is a continuous function of time.
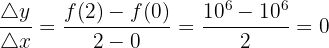
2. Calculate the average rate of change of the population during the interval [0, 2] and [0, 4].
3. Calculate the instantaneous rate of change at t = 4.
Due to bad environmental conditions, a colony of a million bacteria does not reproduce during the first two months of a study. The function that represents the population of the colony during the entire study (time is represented in months) is given by:

1. Verify that the population is a continuous function of time.


\lim_{t \rightarrow 2^ {-}} 10^6 = 10^6
\lim_{t\rightarrow 2^ {+}} 10^6 \cdot e^ {t - 2} = 10^6
2. Calculate the average rate of change of the population during the interval [0, 2] and [0, 4].


3. Calculate the instantaneous rate of change at t = 4.


The growth of a bacterial population is represented by the function p(t) = 5,000 + 1,000t², where t is the time measured in hours. Determine:
1. The average growth rate.
2. The instantaneous rate of growth.
3. The instantaneous growth rate at t0 = 10 hours.
The growth of a bacterial population is represented by the function p(t) = 5,000 + 1,000t², where t is the time measured in hours. Determine:
1. The average growth rate.


2. The instantaneous rate of growth.
p'(x) = \lim_{g \rightarrow 0}\frac{5000+ 100(t + h)^2 - 5000 - 100t^2}{h}
= \lim_{h \rightaroow 0} (200 t - 100h) = 200 t
3. The instantaneous growth rate at t0 = 10 hours.

The equation of a circular motion is: φ(t) = ½t². What is the angular velocity and the acceleration at the seven second mark?
The equation of a circular motion is: φ(t) = ½t². What is the angular velocity and the acceleration at the seven second mark?
ω(t)= φ′(t)= t ω = 7
α(t)= φ′′ (t)= 1 α = 1
A man is 2000 m from the base of a tower and is launching a rocket in the direction of the same tower. When the rocket takes off, the change in the angle between the flight path and the land is represented by Φ(t) according to time. Knowing that Φ'(t) = Π/3, determine:
1. The height of the rocket when Φ = Π/3 radians.
2. The velocity of the rocket when Φ = Π / 3 radians?
A man is 2,000 m from the base of a tower and is launching a rocket in the direction of the same tower. When the rocket takes off the change in the angle between the flight path and the land is represented by Φ(t) according to time. Knowing that Φ'(t) = Π/3, determine:
1. The height of the rocket when Φ = Π/3 radians.

2. The velocity of the rocket when Φ = Π/3 radians?



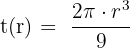
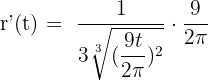
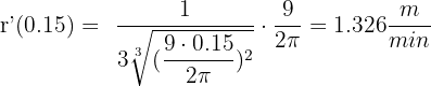
Gas is pumped into a spherical tank at 6 m³/min. If the pressure remains constant, at what velocity does the size of the radius change when the diameter is 120 cm?
Gas is pumped into a spherical tank at 6 m³/min. If the pressure remains constant, at what velocity does the size of the radius change when the diameter is 120 cm?





Summarise with AI:









Like the explanation, want to rearn more. Really enjoying the documents received.