Chapters
- Calculate the Differential of the Following Functions:
- Exercise 1
- Exercise 2
- Exercise 3
- Exercise 4
- Exercise 5
- Exercise 6
- Exercise 7
- Exercise 8
- Solution of exercise 1
- Solution of exercise 2
- Solution of exercise 3
- Solution of exercise 4
- Solution of exercise 5
- Solution of exercise 6
- Solution of exercise 7
- Solution of exercise 8
Calculate the Differential of the Following Functions:
Exercise 1

Exercise 2

Exercise 3

Exercise 4

Exercise 5
A square has a side of 2 m. Determine the increase in area of the square when its sides increase by 1 milimeter. Calculate the error made when using differentials rather than increases.
Exercise 6
Find the change in the volume of a cube of with edges of 20 centimeters, when each edge increases by 0.2 cm in length..
Exercise 7
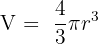
Calculate the absolute and relative error made when calculating the volume of a sphere of 12.51 milimeters in diameter, measured with an instrument that shows thousandths of a centimeter.
Exercise 8
If is replaced by
, what are the approximations of absolute and relative error?
Solution of exercise 1
Calculate the differential:



Solution of exercise 2
Calculate the differential:


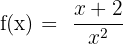
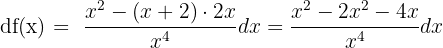
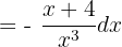
Solution of exercise 3
Calculate the differential:



Solution of exercise 4
Calculate the differential:







Solution of exercise 5
A square has a side of 2 m. Determine the increase in area of the square when its sides increase by 1 milimeter. Calculate the error made when using differentials rather than increases.



Error =
Solution of exercise 6
Find the change in the volume of a cube of with edges of 20 centimeters, when each edge increases by 0.2 cm in length.



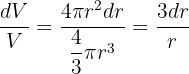
Solution of exercise 7
Calculate the absolute and relative error made when calculating the volume of a sphere of 12.51 milimeters in diameter, measured with an instrument that shows thousandths of centimeter.






Solution of exercise 8
If is replaced by
, what are the approximations of absolute and relative error?






Like the explanation, want to rearn more. Really enjoying the documents received.