Chapters
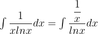
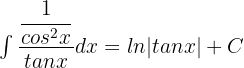
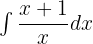
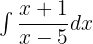
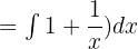
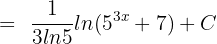
Solve the following examples:
Did you like this article? Rate it!
Emma
I am passionate about travelling and currently live and work in Paris. I like to spend my time reading, gardening, running, learning languages and exploring new places.
Your comment
Name *
Email *
Current ye@r *
Leave this field empty
Hi, what is the integral of ; (k ^ -u x e ^ u) Thanks,
Hi,
what is the integral of ;
(k ^ -u x e ^ u)
Thanks,