Chapters
The best Maths tutors available
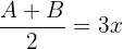
Exercise 1
Solve the integral:
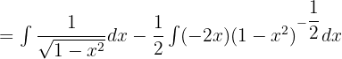
Solution



,


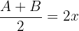
Exercise 2
Solve the following integral:
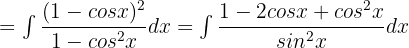
Solution



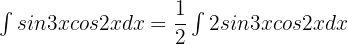
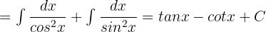
Exercise 3
Solve the following integral:
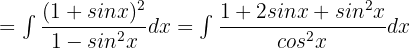
Solution




Exercise 4
Solve the following integral:
Solution





Exercise 5
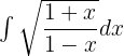
Solve the following integral:
Solution






Hi,
what is the integral of ;
(k ^ -u x e ^ u)
Thanks,