Chapters
- Exercise 1
- Exercise 2
- Exercise 3
- Exercise 4
- Exercise 5
- Exercise 6
- Exercise 7
- Exercise 8
- Exercise 9
- Exercise 10
- Exercise 11
- Exercise 12
- Exercise 13
- Exercise 14
- Exercise 15
- Exercise 16
- Exercise 17
- Exercise 18
- Exercise 19
- Exercise 20
- Solution of exercise 1
- Solution of exercise 2
- Solution of exercise 3
- Solution of exercise 4
- Solution of exercise 5
- Solution of exercise 6
- Solution of exercise 7
- Solution of exercise 8
- Solution of exercise 9
- Solution of exercise 10
- Solution of exercise 11
- Solution of exercise 12
- Solution of exercise 13
- Solution of exercise 14
- Solution of exercise 15
- Solution of exercise 16
- Solution of exercise 17
- Solution of exercise 18
- Solution of exercise 19
- Solution of exercise 20
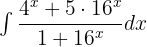
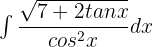
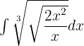
Calculate the following integrals:
The best Maths tutors available
Exercise 1

Exercise 2

Exercise 3

Exercise 4

Exercise 5

Exercise 6

Exercise 7

Exercise 8

Exercise 9

Exercise 10

Exercise 11

Exercise 12

Exercise 13

Exercise 14

Exercise 15

Exercise 16

Exercise 17

Exercise 18

Exercise 19

Exercise 20

Solution of exercise 1



Solution of exercise 2




Solution of exercise 3


Solution of exercise 4



Solution of exercise 5



Solution of exercise 6



Solution of exercise 7



Solution of exercise 8





Solution of exercise 9

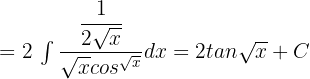
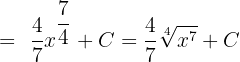
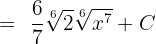
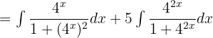
=






Solution of exercise 10




Solution of exercise 11



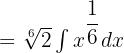
Solution of exercise 12


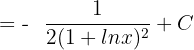
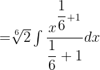
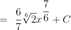
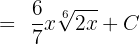
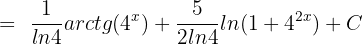
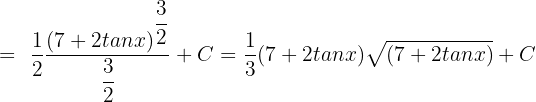
=
Solution of exercise 13


Solution of exercise 14


Solution of exercise 15



Solution of exercise 16


Solution of exercise 17



Solution of exercise 18


Solution of exercise 19

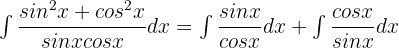
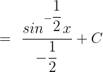
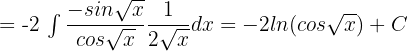
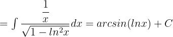
=

Solution of exercise 20


Hi,
what is the integral of ;
(k ^ -u x e ^ u)
Thanks,